🇳🇴 🇬🇧 🇩🇪 🇨🇿 🇫🇮

Meteor Älvdalenin yllä 2024-12-25 17:50:29 UTC

KML-tiedosto  |  Interaktiivinen kartta

Kartta näyttää meteorin suuntahavainnot. Vaaleammat viivat näyttävät suunnat havaintoasemilta meteorin ilmestyessä, ja tummemmat viivat näyttävät, missä se viimeksi nähtiin. Sininen nuoli näyttää meteorin näkyvän lennon.

static map
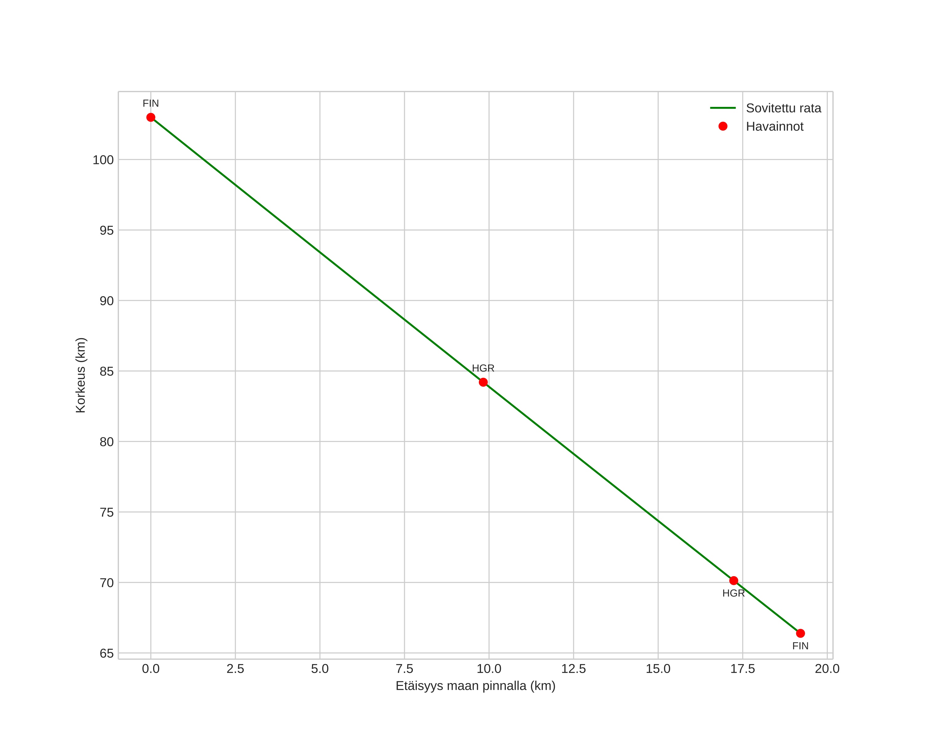
height profile
Meteorin ilmakehärata:
Alkukorkeus: 110,7 km
Loppukorkeus: 68,1 km
Alkupiste: 61,337N 14,156E
Loppupiste: 61,326N 13,720E
Suunta: 267,2°
Kallistuskulma: 61,3°
Tulonopeus: 40,2 km/s
Radiantin R,A,: 04:25 (66,3°)
Radiantin Dekl,: 51,1°
Meteoriparvi: Sporadinen
Meteoroidin rataelementit:
Perihelietäisyys: 0,747 AU
Eksentrisyys: 2,122
Inklinaatio: 23,8°
Nousevan solmun pituus: 274,1°
Perihelin argumentti: 229,7°
Keskianomalia: -40,5°
Epookki: 2024 DEC 25 17:50:29
orbit plot

Ei-interaktiivinen kuvaaja | Interaktiivinen kuvaaja

position vs time
speed and acceleration