🇳🇴 🇬🇧 🇩🇪 🇨🇿 🇫🇮

Meteor, poloha: Elverum 2024-12-25 20:47:49 UTC

Soubor KML  |  InteraktivnĂ­ mapa

Mapa zobrazuje dráhy meteoru. Světlejší čáry ukazují směry od pozorovacích stanic při objevení se meteoru a tmavší čáry, kde byl naposledy viděn. Modrá šipka značí viditelnou dráhu meteoru.

static map
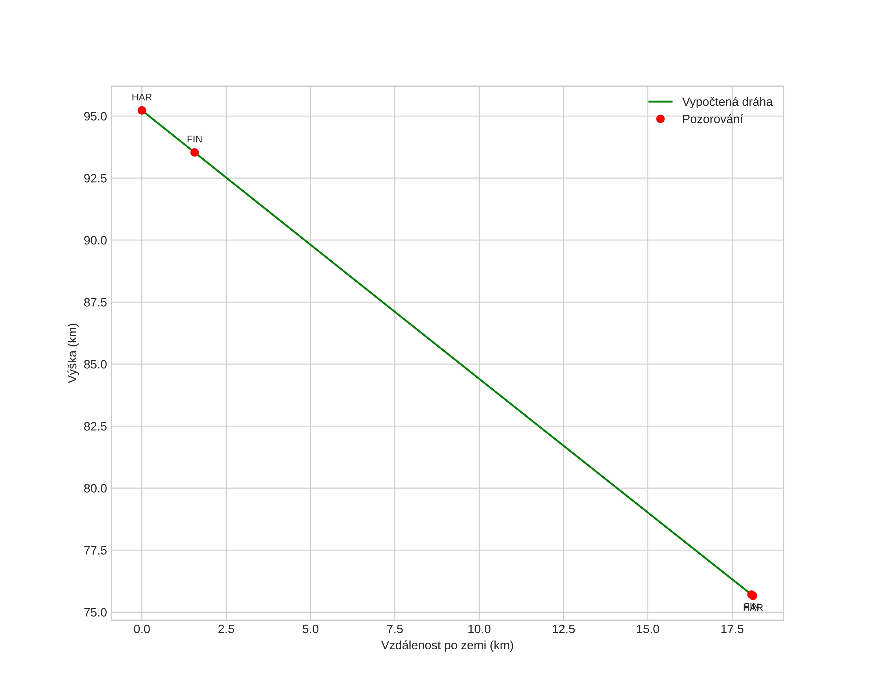
height profile
Atmosférická dráha meteoru:
Počáteční výška: 96,1 km
Konečná výška: 75,7 km
Počáteční poloha: 60,791N 12,033E
Konečná poloha: 60,901N 11,768E
Směr: 310,6°
Sklon: 47,2°
VstupnĂ­ rychlost: 26,3 km/s
Rektascenze radiantu: 06:14 (93,6°)
Deklinace radiantu: 23,1°
MeteorickĂ˝ roj: sporadickĂ˝
Elementy dráhy meteoroidu:
Vzdálenost v periheliu: 0,567 AU
Excentricita: 0,809
Sklon dráhy: 0,2°
Délka vzestupného uzlu: 95,1°
Argument perihelia: 86,1°
Střední anomálie: 351,9°
Epocha: 2024 DEC 25 20:47:49
orbit plot

NeinteraktivnĂ­ graf | InteraktivnĂ­ graf

position vs time
speed and acceleration