🇳🇴 🇬🇧 🇩🇪 🇨🇿 🇫🇮

Meteor Elverumin yllä 2024-12-25 20:47:49 UTC

KML-tiedosto  |  Interaktiivinen kartta

Kartta näyttää meteorin suuntahavainnot. Vaaleammat viivat näyttävät suunnat havaintoasemilta meteorin ilmestyessä, ja tummemmat viivat näyttävät, missä se viimeksi nähtiin. Sininen nuoli näyttää meteorin näkyvän lennon.

static map
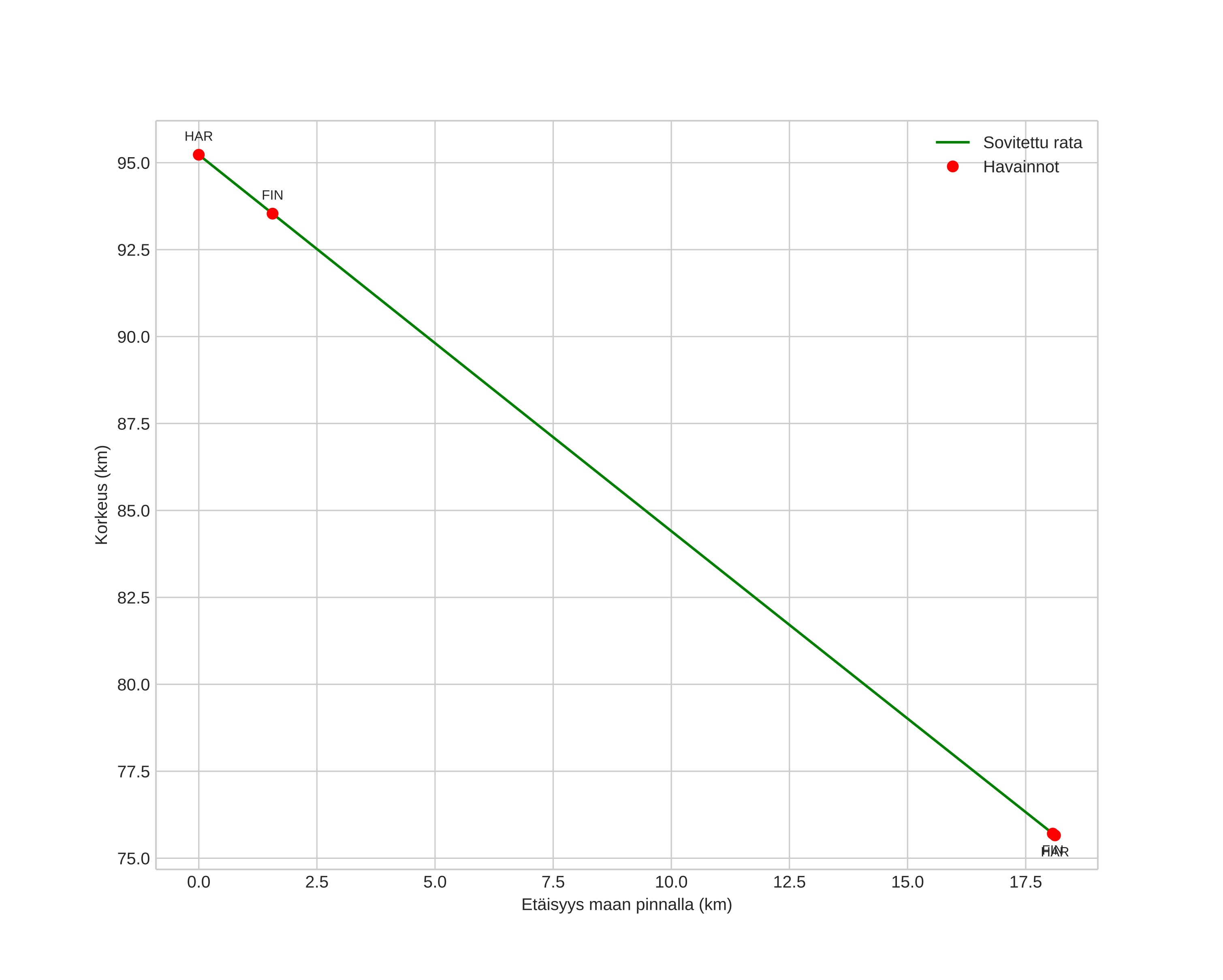
height profile
Meteorin ilmakehärata:
Alkukorkeus: 96,1 km
Loppukorkeus: 75,7 km
Alkupiste: 60,791N 12,033E
Loppupiste: 60,901N 11,768E
Suunta: 310,6°
Kallistuskulma: 47,2°
Tulonopeus: 26,3 km/s
Radiantin R,A,: 06:14 (93,6°)
Radiantin Dekl,: 23,1°
Meteoriparvi: Sporadinen
Meteoroidin rataelementit:
Perihelietäisyys: 0,567 AU
Eksentrisyys: 0,809
Inklinaatio: 0,2°
Nousevan solmun pituus: 95,1°
Perihelin argumentti: 86,1°
Keskianomalia: 351,9°
Epookki: 2024 DEC 25 20:47:49
orbit plot

Ei-interaktiivinen kuvaaja | Interaktiivinen kuvaaja

position vs time
speed and acceleration