🇳🇴 🇬🇧 🇩🇪 🇨🇿 🇫🇮

Meteor, poloha: Brumunddal 2024-12-26 01:41:18 UTC

Soubor KML  |  InteraktivnĂ­ mapa

Mapa zobrazuje dráhy meteoru. Světlejší čáry ukazují směry od pozorovacích stanic při objevení se meteoru a tmavší čáry, kde byl naposledy viděn. Modrá šipka značí viditelnou dráhu meteoru.

static map
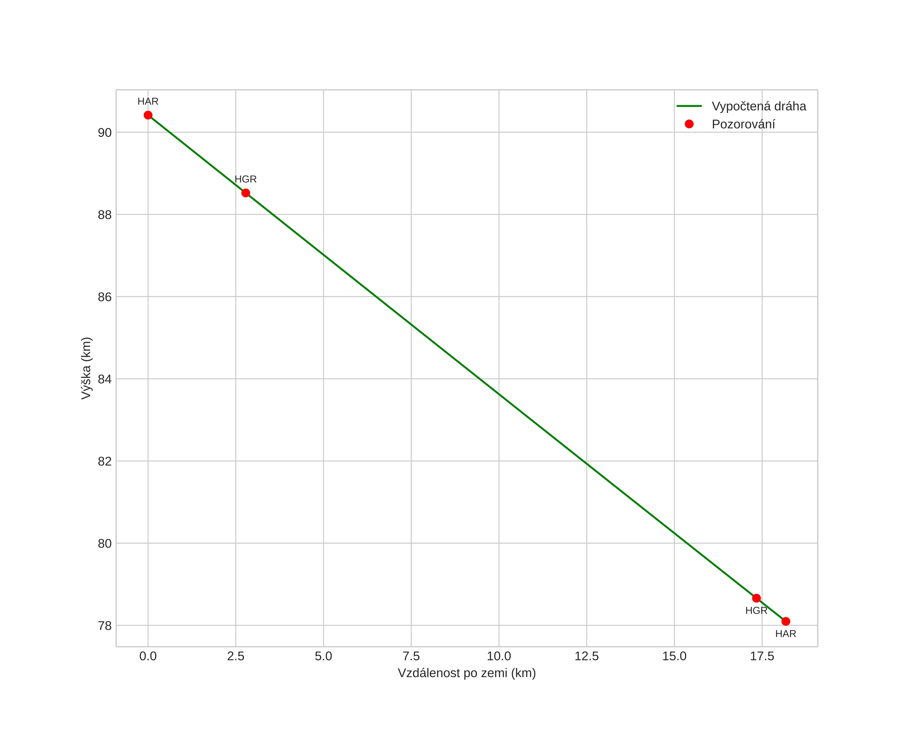
height profile
Atmosférická dráha meteoru:
Počáteční výška: 94,0 km
Konečná výška: 77,6 km
Počáteční poloha: 61,020N 10,814E
Konečná poloha: 60,820N 10,940E
Směr: 163,0°
Sklon: 35,2°
VstupnĂ­ rychlost: 20,1 km/s
Rektascenze radiantu: 22:38 (339,7°)
Deklinace radiantu: 56,5°
MeteorickĂ˝ roj: sporadickĂ˝
Elementy dráhy meteoroidu:
Vzdálenost v periheliu: 0,981 AU
Excentricita: 0,927
Sklon dráhy: 19,9°
Délka vzestupného uzlu: 274,4°
Argument perihelia: 185,7°
Střední anomálie: 359,9°
Epocha: 2024 DEC 26 01:41:18
orbit plot

NeinteraktivnĂ­ graf | InteraktivnĂ­ graf

position vs time
speed and acceleration