🇳🇴 🇬🇧 🇩🇪 🇨🇿 🇫🇮

Meteor Brumunddalin yllä 2024-12-26 01:41:18 UTC

KML-tiedosto  |  Interaktiivinen kartta

Kartta näyttää meteorin suuntahavainnot. Vaaleammat viivat näyttävät suunnat havaintoasemilta meteorin ilmestyessä, ja tummemmat viivat näyttävät, missä se viimeksi nähtiin. Sininen nuoli näyttää meteorin näkyvän lennon.

static map
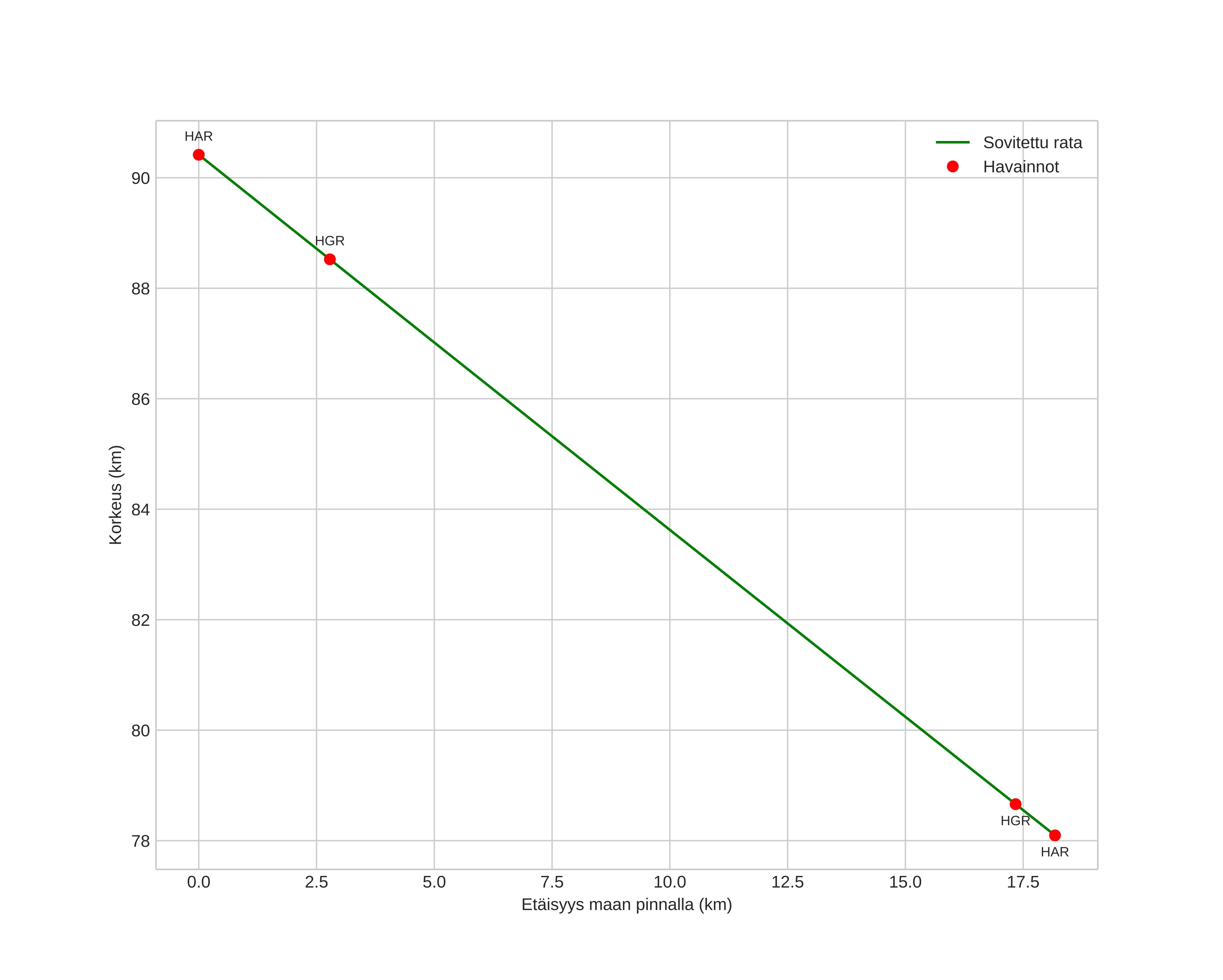
height profile
Meteorin ilmakehärata:
Alkukorkeus: 94,0 km
Loppukorkeus: 77,6 km
Alkupiste: 61,020N 10,814E
Loppupiste: 60,820N 10,940E
Suunta: 163,0°
Kallistuskulma: 35,2°
Tulonopeus: 20,1 km/s
Radiantin R,A,: 22:38 (339,7°)
Radiantin Dekl,: 56,5°
Meteoriparvi: Sporadinen
Meteoroidin rataelementit:
Perihelietäisyys: 0,981 AU
Eksentrisyys: 0,927
Inklinaatio: 19,9°
Nousevan solmun pituus: 274,4°
Perihelin argumentti: 185,7°
Keskianomalia: 359,9°
Epookki: 2024 DEC 26 01:41:18
orbit plot

Ei-interaktiivinen kuvaaja | Interaktiivinen kuvaaja

position vs time
speed and acceleration