🇳🇴 🇬🇧 🇩🇪 🇨🇿 🇫🇮

Meteor, poloha: Dals LĂĄnged 2024-12-26 04:57:33 UTC

Soubor KML  |  InteraktivnĂ­ mapa

Mapa zobrazuje dráhy meteoru. Světlejší čáry ukazují směry od pozorovacích stanic při objevení se meteoru a tmavší čáry, kde byl naposledy viděn. Modrá šipka značí viditelnou dráhu meteoru.

static map
height profile
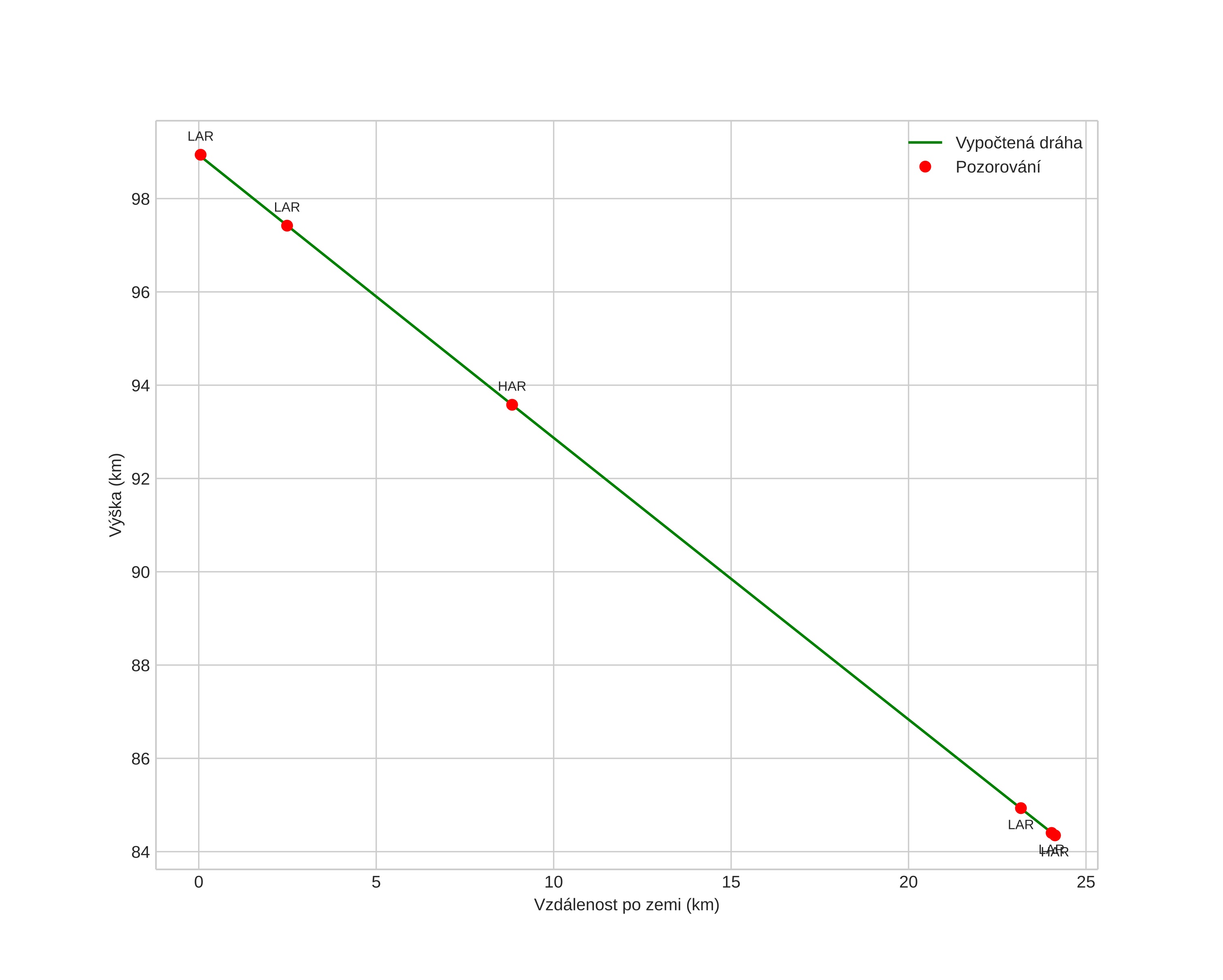
Atmosférická dráha meteoru:
Počáteční výška: 98,9 km
Konečná výška: 83,6 km
Počáteční poloha: 59,000N 11,894E
Konečná poloha: 58,995N 12,327E
Směr: 91,1°
Sklon: 31,7°
VstupnĂ­ rychlost: 31,9 km/s
Rektascenze radiantu: 07:05 (106,4°)
Deklinace radiantu: 25,4°
MeteorickĂ˝ roj: sporadickĂ˝
Elementy dráhy meteoroidu:
Vzdálenost v periheliu: 0,362 AU
Excentricita: 0,879
Sklon dráhy: 3,4°
Délka vzestupného uzlu: 274,5°
Argument perihelia: 290,6°
Střední anomálie: 352,3°
Epocha: 2024 DEC 26 04:57:33
orbit plot

NeinteraktivnĂ­ graf | InteraktivnĂ­ graf

position vs time
speed and acceleration