🇳🇴 🇬🇧 🇩🇪 🇨🇿 🇫🇮

Meteor Dals Långedin yllä 2024-12-26 04:57:33 UTC

KML-tiedosto  |  Interaktiivinen kartta

Kartta näyttää meteorin suuntahavainnot. Vaaleammat viivat näyttävät suunnat havaintoasemilta meteorin ilmestyessä, ja tummemmat viivat näyttävät, missä se viimeksi nähtiin. Sininen nuoli näyttää meteorin näkyvän lennon.

static map
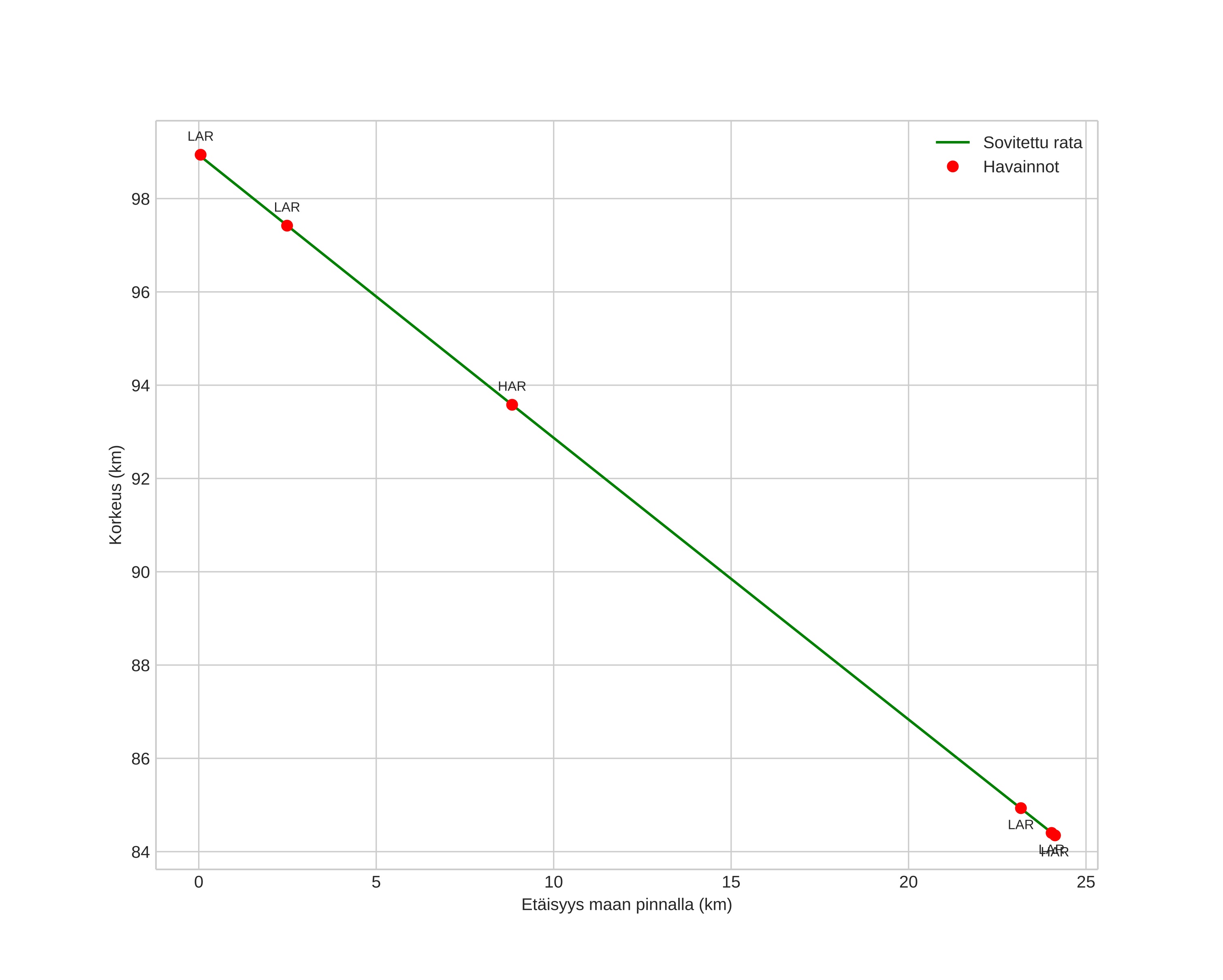
height profile
Meteorin ilmakehärata:
Alkukorkeus: 98,9 km
Loppukorkeus: 83,6 km
Alkupiste: 59,000N 11,894E
Loppupiste: 58,995N 12,327E
Suunta: 91,1°
Kallistuskulma: 31,7°
Tulonopeus: 31,9 km/s
Radiantin R,A,: 07:05 (106,4°)
Radiantin Dekl,: 25,4°
Meteoriparvi: Sporadinen
Meteoroidin rataelementit:
Perihelietäisyys: 0,362 AU
Eksentrisyys: 0,879
Inklinaatio: 3,4°
Nousevan solmun pituus: 274,5°
Perihelin argumentti: 290,6°
Keskianomalia: 352,3°
Epookki: 2024 DEC 26 04:57:33
orbit plot

Ei-interaktiivinen kuvaaja | Interaktiivinen kuvaaja

position vs time
speed and acceleration