🇳🇴 🇬🇧 🇩🇪 🇨🇿 🇫🇮

Meteor, poloha: RĂĄholt 2024-12-30 00:27:38 UTC

Soubor KML  |  InteraktivnĂ­ mapa

Mapa zobrazuje dráhy meteoru. Světlejší čáry ukazují směry od pozorovacích stanic při objevení se meteoru a tmavší čáry, kde byl naposledy viděn. Modrá šipka značí viditelnou dráhu meteoru.

static map
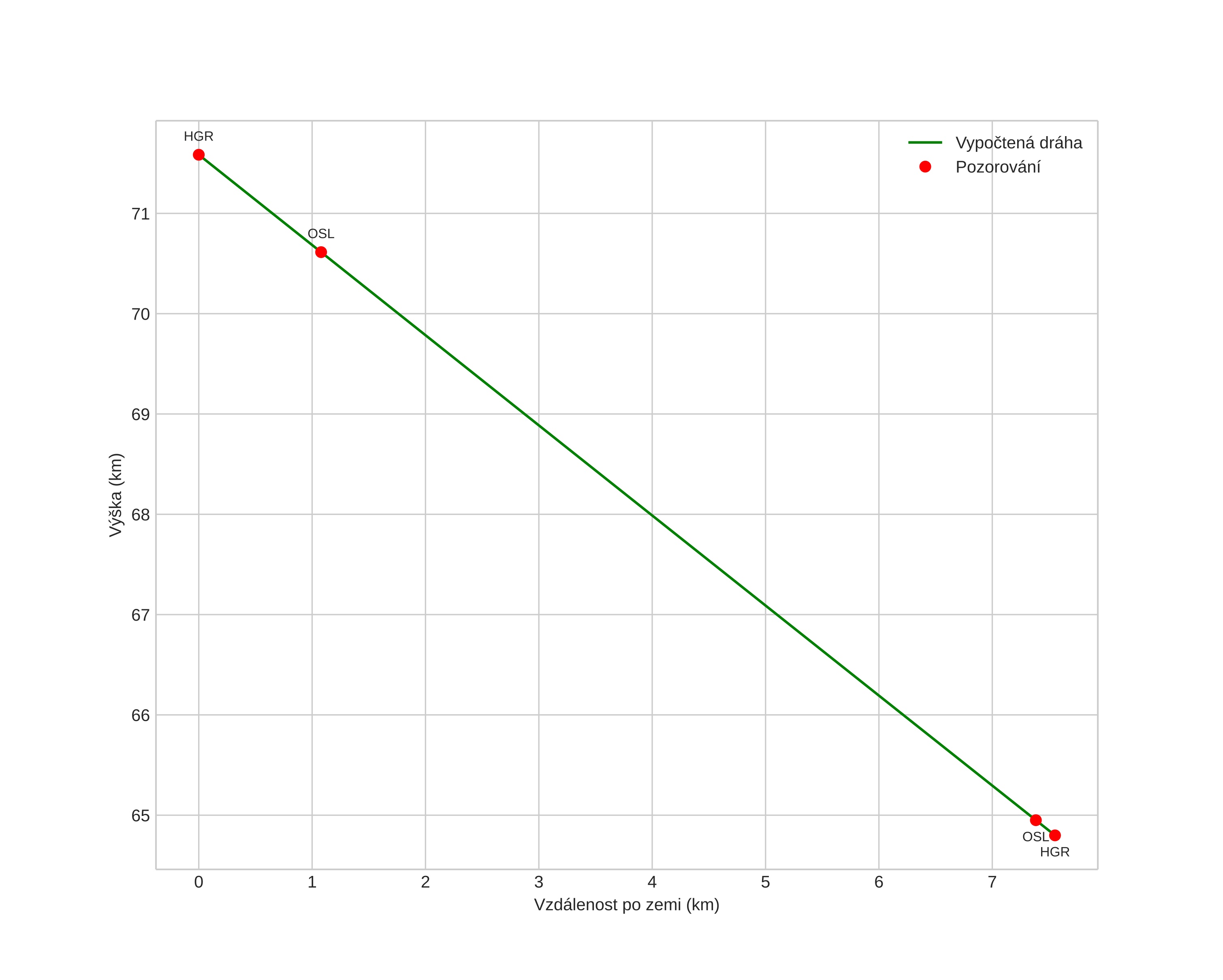
height profile
Atmosférická dráha meteoru:
Počáteční výška: 76,1 km
Konečná výška: 63,2 km
Počáteční poloha: 60,226N 10,863E
Konečná poloha: 60,253N 11,119E
Směr: 77,8°
Sklon: 41,7°
VstupnĂ­ rychlost: 15,2 km/s
Rektascenze radiantu: 03:31 (52,8°)
Deklinace radiantu: 21,4°
MeteorickĂ˝ roj: sporadickĂ˝
Elementy dráhy meteoroidu:
Vzdálenost v periheliu: 0,931 AU
Excentricita: 0,643
Sklon dráhy: 0,6°
Délka vzestupného uzlu: 278,2°
Argument perihelia: 210,4°
Střední anomálie: 354,8°
Epocha: 2024 DEC 30 00:27:38
orbit plot

NeinteraktivnĂ­ graf | InteraktivnĂ­ graf

position vs time
speed and acceleration