🇳🇴 🇬🇧 🇩🇪 🇨🇿 🇫🇮

Meteor Råholtin yllä 2024-12-30 00:27:38 UTC

KML-tiedosto  |  Interaktiivinen kartta

Kartta näyttää meteorin suuntahavainnot. Vaaleammat viivat näyttävät suunnat havaintoasemilta meteorin ilmestyessä, ja tummemmat viivat näyttävät, missä se viimeksi nähtiin. Sininen nuoli näyttää meteorin näkyvän lennon.

static map
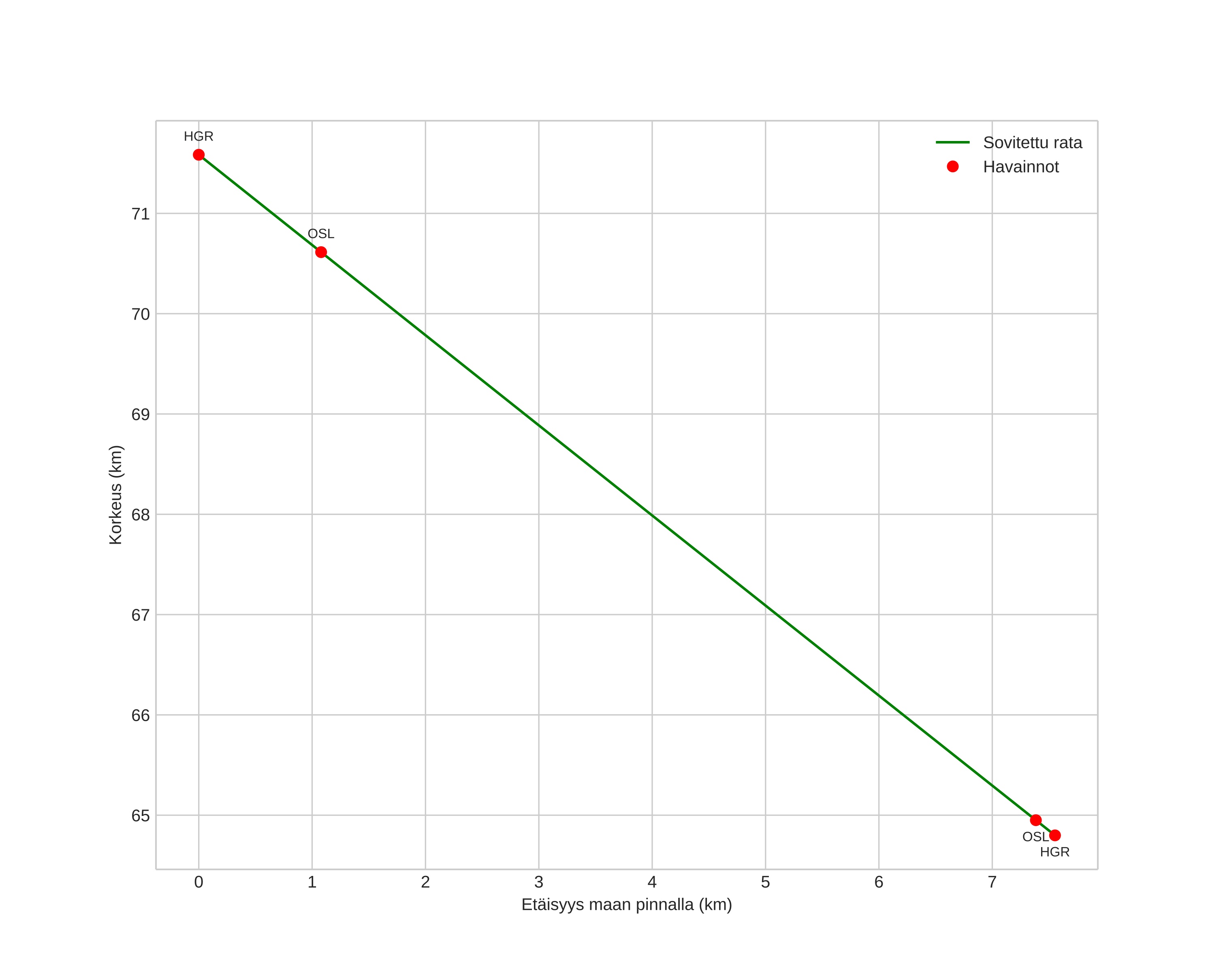
height profile
Meteorin ilmakehärata:
Alkukorkeus: 76,1 km
Loppukorkeus: 63,2 km
Alkupiste: 60,226N 10,863E
Loppupiste: 60,253N 11,119E
Suunta: 77,8°
Kallistuskulma: 41,7°
Tulonopeus: 15,2 km/s
Radiantin R,A,: 03:31 (52,8°)
Radiantin Dekl,: 21,4°
Meteoriparvi: Sporadinen
Meteoroidin rataelementit:
Perihelietäisyys: 0,931 AU
Eksentrisyys: 0,643
Inklinaatio: 0,6°
Nousevan solmun pituus: 278,2°
Perihelin argumentti: 210,4°
Keskianomalia: 354,8°
Epookki: 2024 DEC 30 00:27:38
orbit plot

Ei-interaktiivinen kuvaaja | Interaktiivinen kuvaaja

position vs time
speed and acceleration