🇳🇴 🇬🇧 🇩🇪 🇨🇿 🇫🇮

Meteor, poloha: Torsby 2024-12-30 05:16:23 UTC

Soubor KML  |  InteraktivnĂ­ mapa

Mapa zobrazuje dráhy meteoru. Světlejší čáry ukazují směry od pozorovacích stanic při objevení se meteoru a tmavší čáry, kde byl naposledy viděn. Modrá šipka značí viditelnou dráhu meteoru.

static map
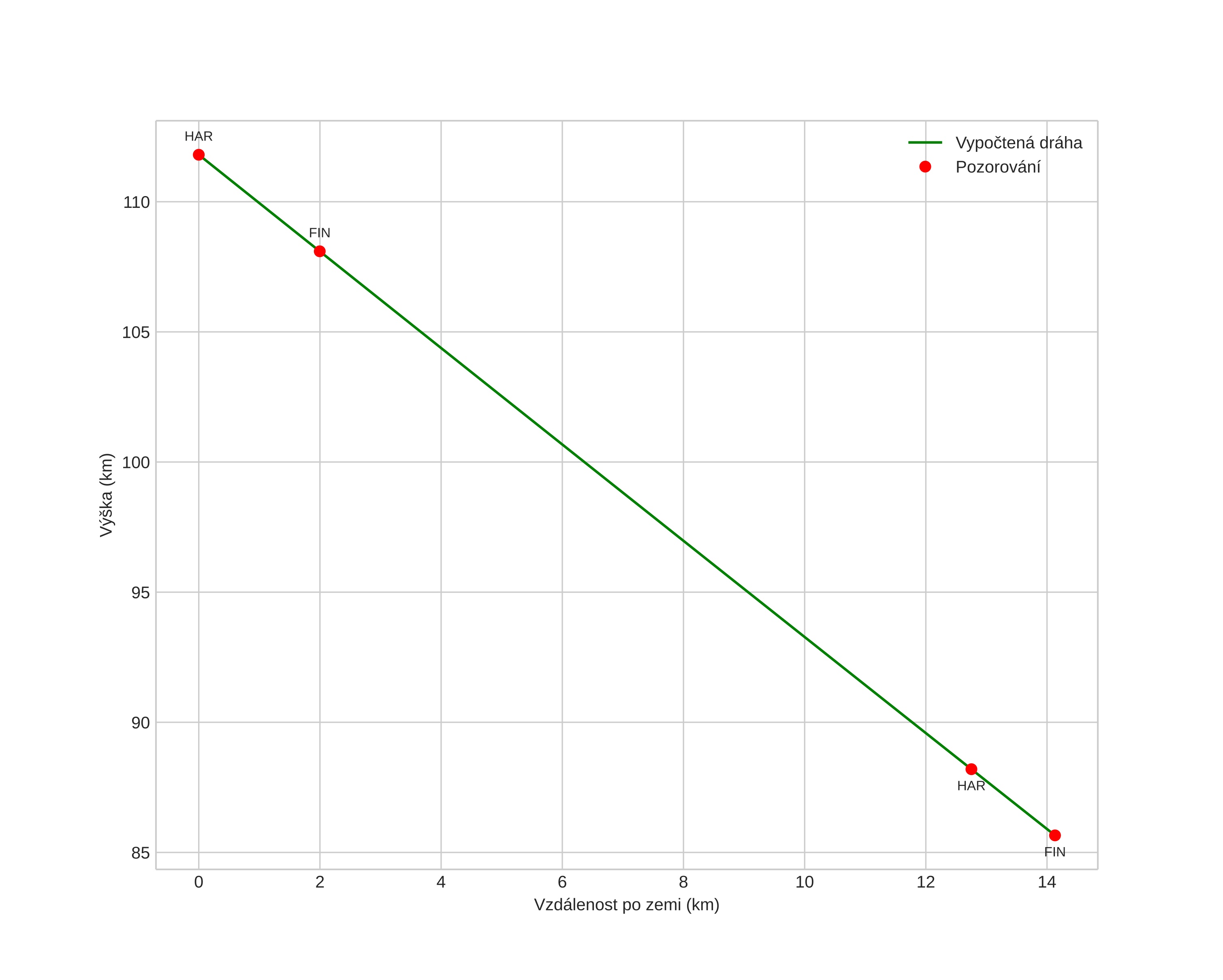
height profile
Atmosférická dráha meteoru:
Počáteční výška: 111,8 km
Konečná výška: 85,7 km
Počáteční poloha: 60,605N 12,988E
Konečná poloha: 60,570N 12,739E
Směr: 253,8°
Sklon: 61,6°
VstupnĂ­ rychlost: 44,8 km/s
Rektascenze radiantu: 16:26 (246,6°)
Deklinace radiantu: 56,2°
MeteorickĂ˝ roj: sporadickĂ˝
Elementy dráhy meteoroidu:
Vzdálenost v periheliu: 0,976 AU
Excentricita: 1,396
Sklon dráhy: 64,5°
Délka vzestupného uzlu: 278,7°
Argument perihelia: 170,6°
Střední anomálie: 1,5°
Epocha: 2024 DEC 30 05:16:23
orbit plot

NeinteraktivnĂ­ graf | InteraktivnĂ­ graf

position vs time
speed and acceleration