🇳🇴 🇬🇧 🇩🇪 🇨🇿 🇫🇮

Meteor Torsbyn yllä 2024-12-30 05:16:23 UTC

KML-tiedosto  |  Interaktiivinen kartta

Kartta näyttää meteorin suuntahavainnot. Vaaleammat viivat näyttävät suunnat havaintoasemilta meteorin ilmestyessä, ja tummemmat viivat näyttävät, missä se viimeksi nähtiin. Sininen nuoli näyttää meteorin näkyvän lennon.

static map
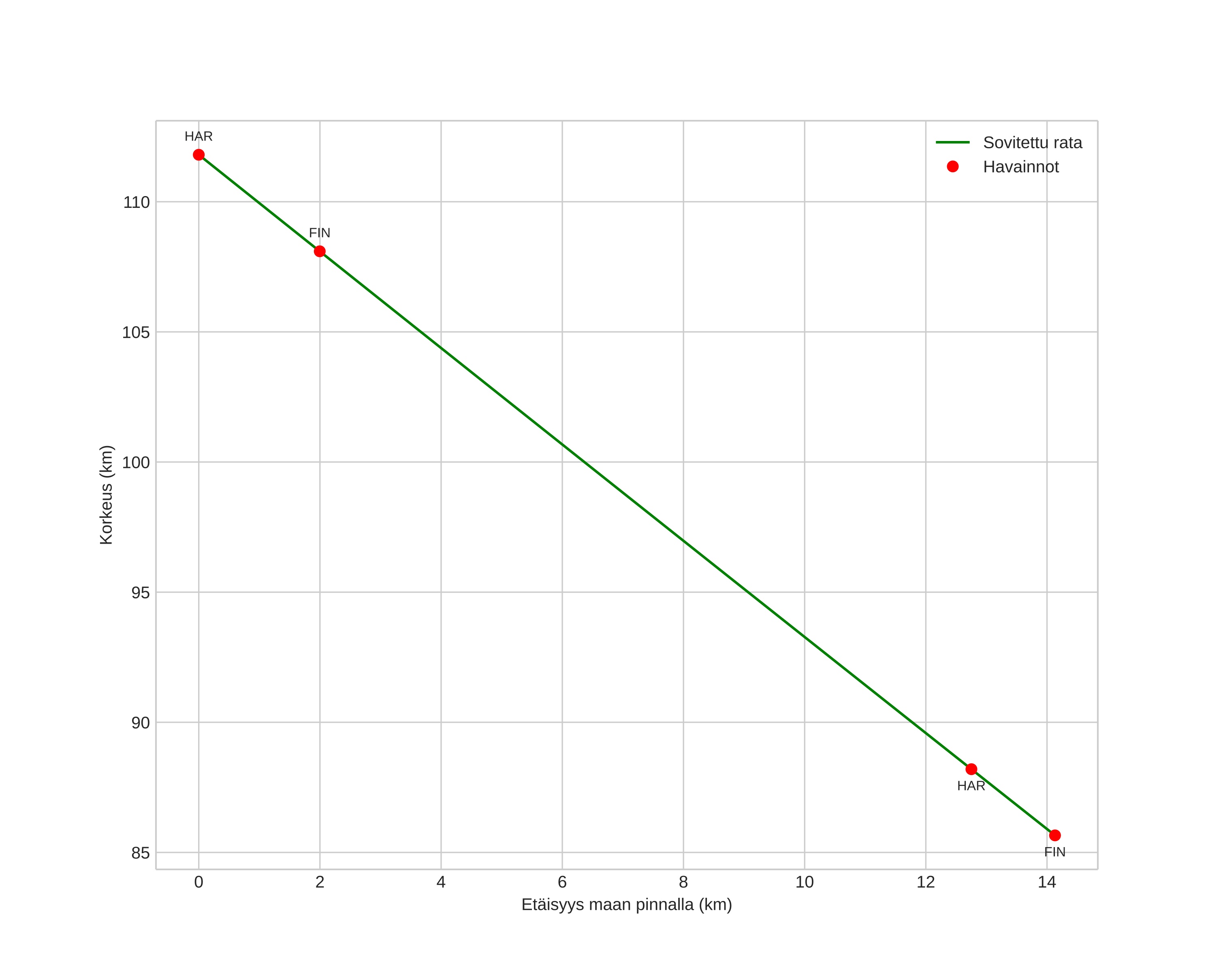
height profile
Meteorin ilmakehärata:
Alkukorkeus: 111,8 km
Loppukorkeus: 85,7 km
Alkupiste: 60,605N 12,988E
Loppupiste: 60,570N 12,739E
Suunta: 253,8°
Kallistuskulma: 61,6°
Tulonopeus: 44,8 km/s
Radiantin R,A,: 16:26 (246,6°)
Radiantin Dekl,: 56,2°
Meteoriparvi: Sporadinen
Meteoroidin rataelementit:
Perihelietäisyys: 0,976 AU
Eksentrisyys: 1,396
Inklinaatio: 64,5°
Nousevan solmun pituus: 278,7°
Perihelin argumentti: 170,6°
Keskianomalia: 1,5°
Epookki: 2024 DEC 30 05:16:23
orbit plot

Ei-interaktiivinen kuvaaja | Interaktiivinen kuvaaja

position vs time
speed and acceleration