🇳🇴 🇬🇧 🇩🇪 🇨🇿 🇫🇮

Meteor, poloha: Grebbestad 2024-12-30 19:17:14 UTC

Soubor KML  |  InteraktivnĂ­ mapa

Mapa zobrazuje dráhy meteoru. Světlejší čáry ukazují směry od pozorovacích stanic při objevení se meteoru a tmavší čáry, kde byl naposledy viděn. Modrá šipka značí viditelnou dráhu meteoru.

static map
height profile
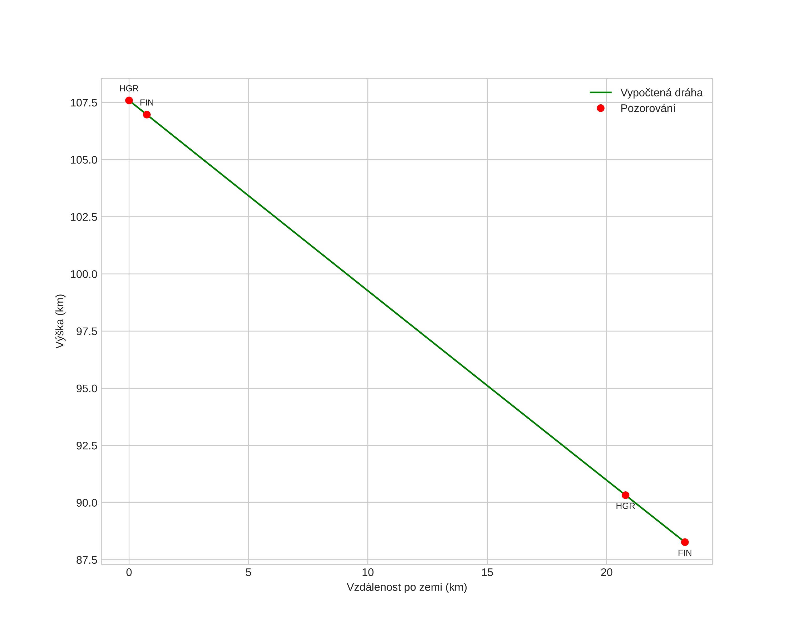
Atmosférická dráha meteoru:
Počáteční výška: 107,7 km
Konečná výška: 88,3 km
Počáteční poloha: 58,755N 11,488E
Konečná poloha: 58,595N 11,223E
Směr: 220,8°
Sklon: 39,6°
VstupnĂ­ rychlost: 43,0 km/s
Rektascenze radiantu: 09:58 (149,6°)
Deklinace radiantu: 57,6°
MeteorickĂ˝ roj: sporadickĂ˝
Elementy dráhy meteoroidu:
Vzdálenost v periheliu: 0,557 AU
Excentricita: 0,950
Sklon dráhy: 61,0°
Délka vzestupného uzlu: 279,2°
Argument perihelia: 263,7°
Střední anomálie: 359,0°
Epocha: 2024 DEC 30 19:17:14
orbit plot

NeinteraktivnĂ­ graf | InteraktivnĂ­ graf

position vs time
speed and acceleration