🇳🇴 🇬🇧 🇩🇪 🇨🇿 🇫🇮

Meteor Grebbestadin yllä 2024-12-30 19:17:14 UTC

KML-tiedosto  |  Interaktiivinen kartta

Kartta näyttää meteorin suuntahavainnot. Vaaleammat viivat näyttävät suunnat havaintoasemilta meteorin ilmestyessä, ja tummemmat viivat näyttävät, missä se viimeksi nähtiin. Sininen nuoli näyttää meteorin näkyvän lennon.

static map
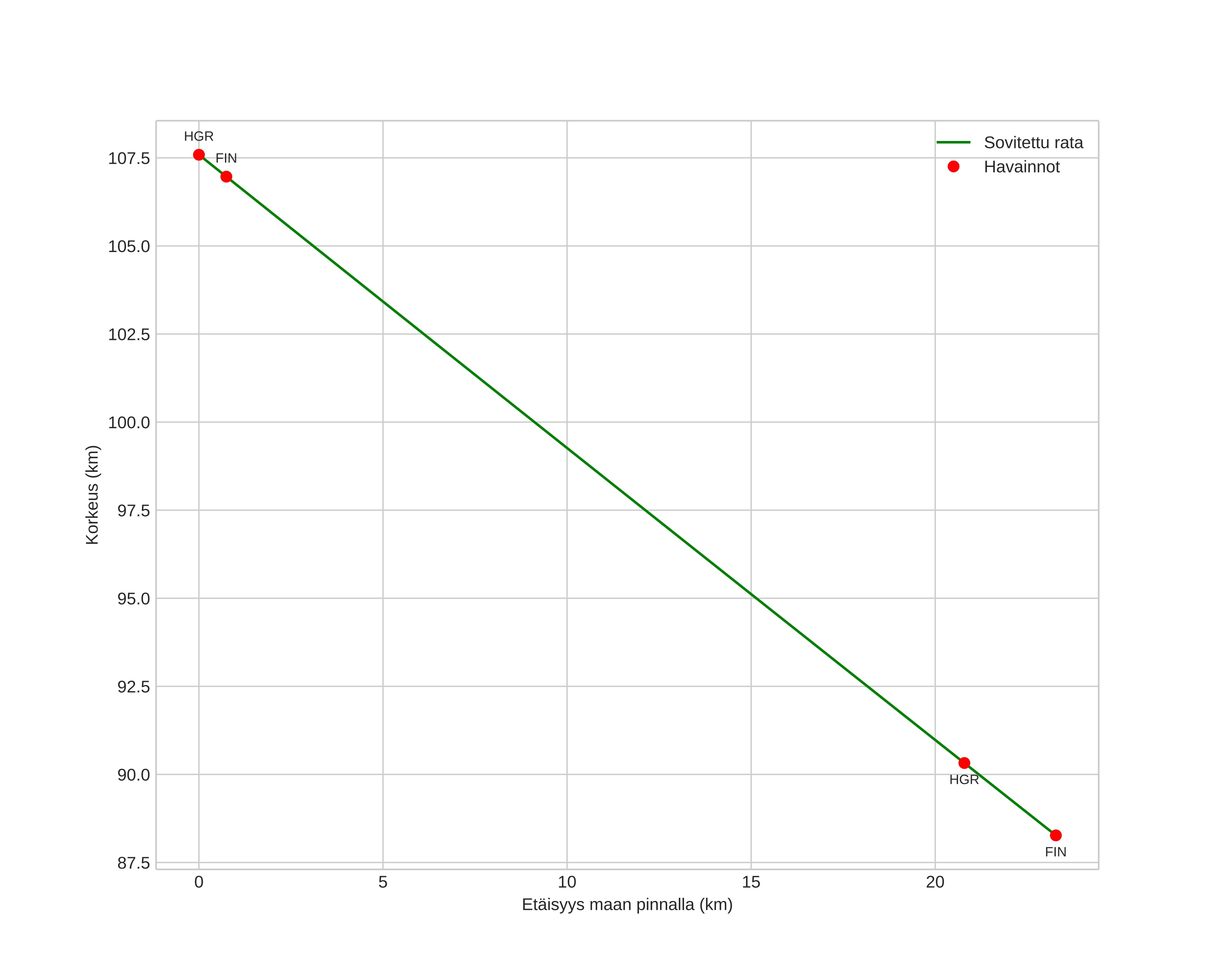
height profile
Meteorin ilmakehärata:
Alkukorkeus: 107,7 km
Loppukorkeus: 88,3 km
Alkupiste: 58,755N 11,488E
Loppupiste: 58,595N 11,223E
Suunta: 220,8°
Kallistuskulma: 39,6°
Tulonopeus: 43,0 km/s
Radiantin R,A,: 09:58 (149,6°)
Radiantin Dekl,: 57,6°
Meteoriparvi: Sporadinen
Meteoroidin rataelementit:
Perihelietäisyys: 0,557 AU
Eksentrisyys: 0,950
Inklinaatio: 61,0°
Nousevan solmun pituus: 279,2°
Perihelin argumentti: 263,7°
Keskianomalia: 359,0°
Epookki: 2024 DEC 30 19:17:14
orbit plot

Ei-interaktiivinen kuvaaja | Interaktiivinen kuvaaja

position vs time
speed and acceleration