🇳🇴 🇬🇧 🇩🇪 🇨🇿 🇫🇮

Meteor, poloha: Sandvika 2024-12-31 00:19:20 UTC

Soubor KML  |  InteraktivnĂ­ mapa

Mapa zobrazuje dráhy meteoru. Světlejší čáry ukazují směry od pozorovacích stanic při objevení se meteoru a tmavší čáry, kde byl naposledy viděn. Modrá šipka značí viditelnou dráhu meteoru.

static map
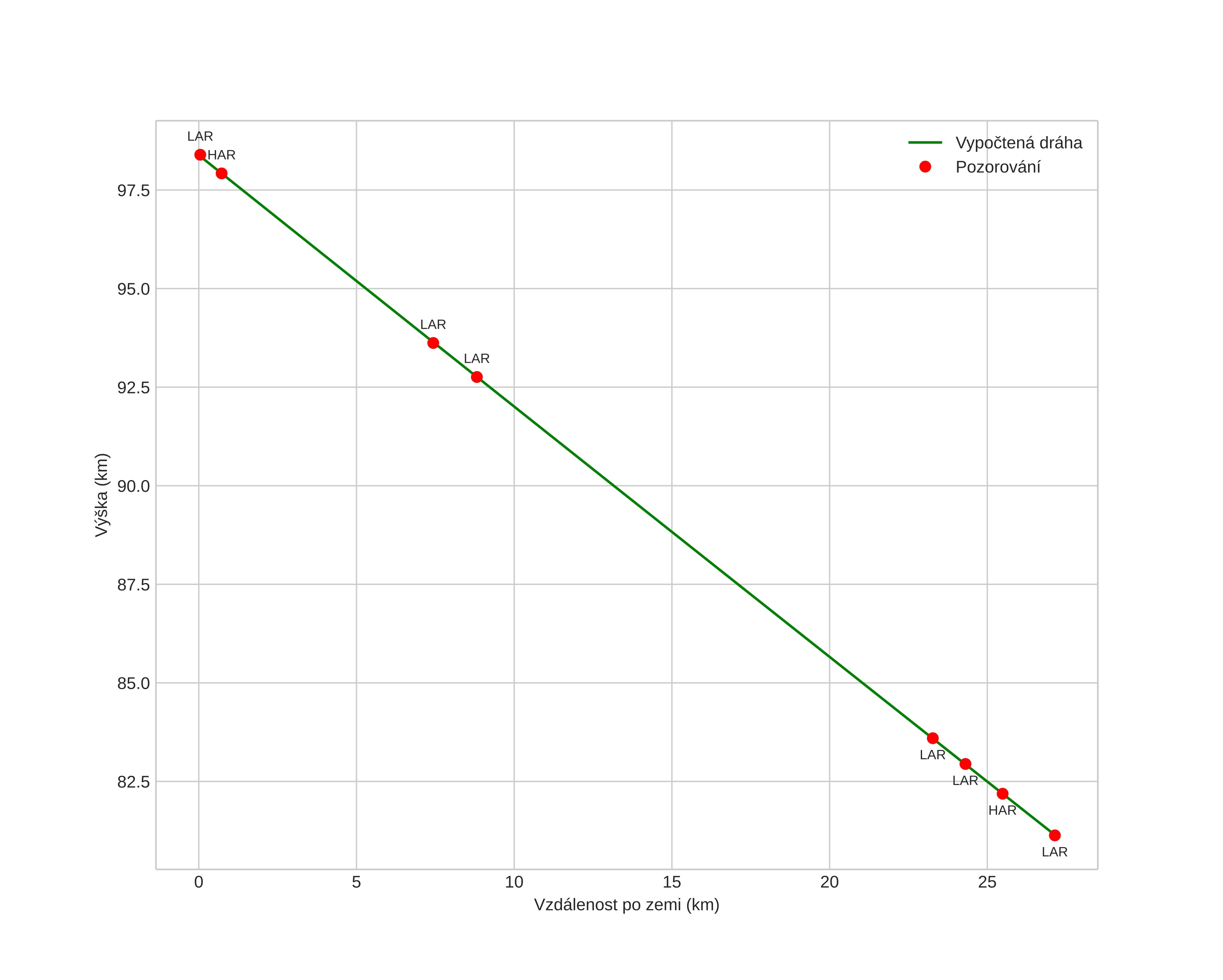
height profile
Atmosférická dráha meteoru:
Počáteční výška: 99,6 km
Konečná výška: 80,8 km
Počáteční poloha: 59,632N 10,267E
Konečná poloha: 59,839N 10,575E
Směr: 36,8°
Sklon: 33,2°
VstupnĂ­ rychlost: 22,4 km/s
Rektascenze radiantu: 05:29 (82,4°)
Deklinace radiantu: 3,5°
MeteorickĂ˝ roj: sporadickĂ˝
Elementy dráhy meteoroidu:
Vzdálenost v periheliu: 0,781 AU
Excentricita: 0,857
Sklon dráhy: 10,5°
Délka vzestupného uzlu: 99,5°
Argument perihelia: 56,3°
Střední anomálie: 357,4°
Epocha: 2024 DEC 31 00:19:20
orbit plot

NeinteraktivnĂ­ graf | InteraktivnĂ­ graf

position vs time
speed and acceleration