🇳🇴 🇬🇧 🇩🇪 🇨🇿 🇫🇮

Meteor Sandvikan yllä 2024-12-31 00:19:20 UTC

KML-tiedosto  |  Interaktiivinen kartta

Kartta näyttää meteorin suuntahavainnot. Vaaleammat viivat näyttävät suunnat havaintoasemilta meteorin ilmestyessä, ja tummemmat viivat näyttävät, missä se viimeksi nähtiin. Sininen nuoli näyttää meteorin näkyvän lennon.

static map
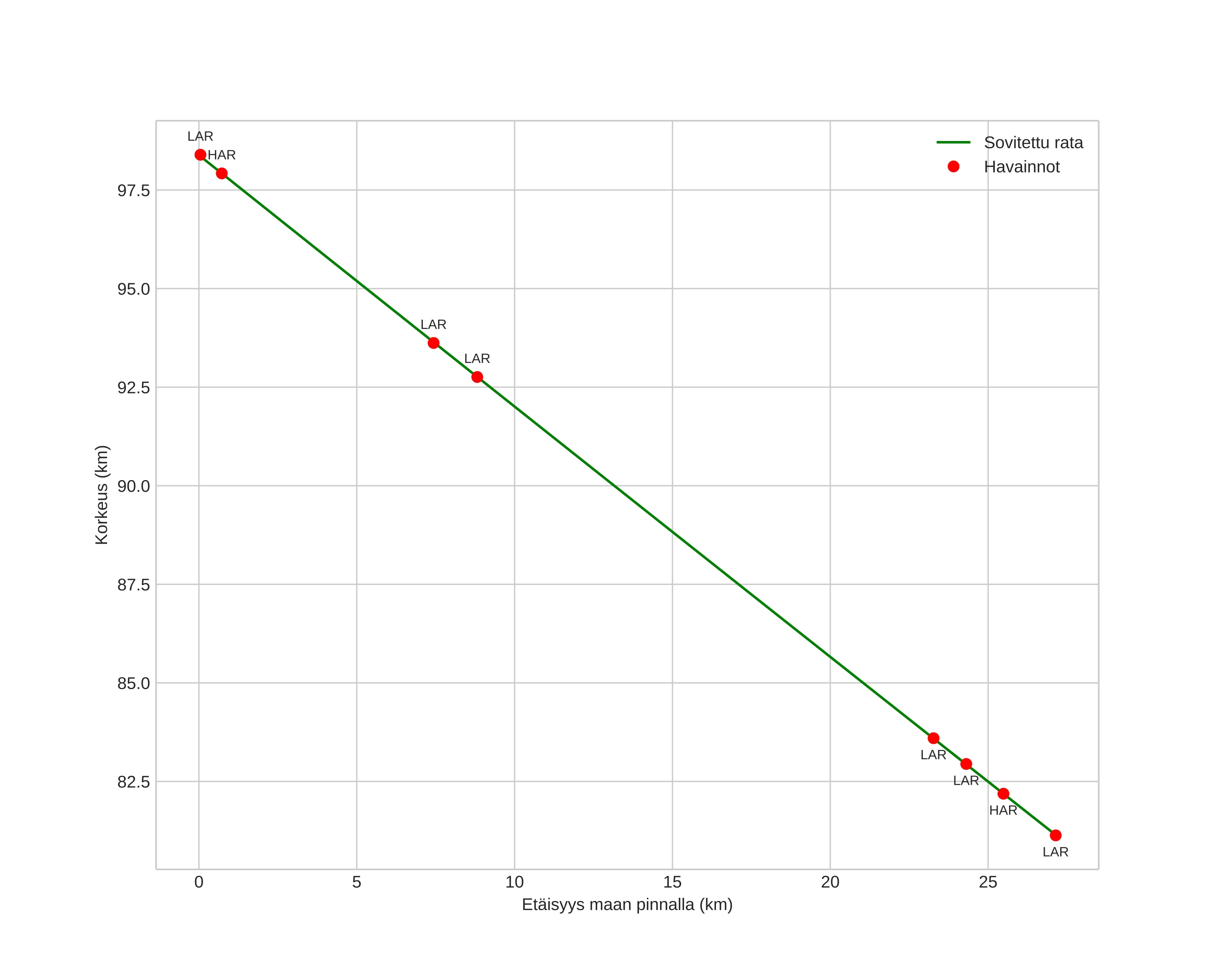
height profile
Meteorin ilmakehärata:
Alkukorkeus: 99,6 km
Loppukorkeus: 80,8 km
Alkupiste: 59,632N 10,267E
Loppupiste: 59,839N 10,575E
Suunta: 36,8°
Kallistuskulma: 33,2°
Tulonopeus: 22,4 km/s
Radiantin R,A,: 05:29 (82,4°)
Radiantin Dekl,: 3,5°
Meteoriparvi: Sporadinen
Meteoroidin rataelementit:
Perihelietäisyys: 0,781 AU
Eksentrisyys: 0,857
Inklinaatio: 10,5°
Nousevan solmun pituus: 99,5°
Perihelin argumentti: 56,3°
Keskianomalia: 357,4°
Epookki: 2024 DEC 31 00:19:20
orbit plot

Ei-interaktiivinen kuvaaja | Interaktiivinen kuvaaja

position vs time
speed and acceleration