🇳🇴 🇬🇧 🇩🇪 🇨🇿 🇫🇮

Meteor, poloha: Nesoddtangen 2024-12-31 00:19:21 UTC

Soubor KML  |  InteraktivnĂ­ mapa

Mapa zobrazuje dráhy meteoru. Světlejší čáry ukazují směry od pozorovacích stanic při objevení se meteoru a tmavší čáry, kde byl naposledy viděn. Modrá šipka značí viditelnou dráhu meteoru.

static map
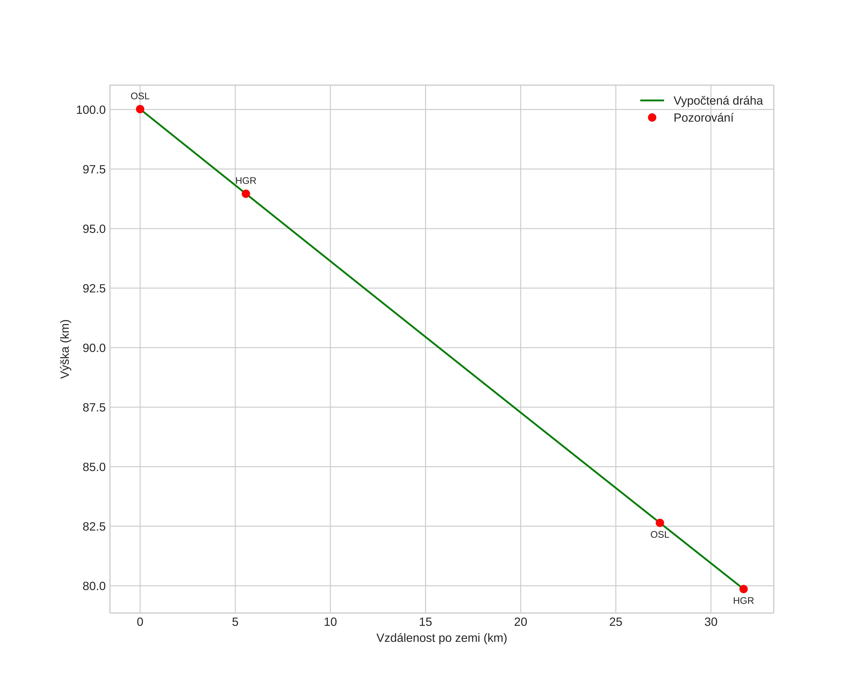
height profile
Atmosférická dráha meteoru:
Počáteční výška: 100,1 km
Konečná výška: 79,7 km
Počáteční poloha: 59,622N 10,251E
Konečná poloha: 59,852N 10,591E
Směr: 36,5°
Sklon: 32,6°
VstupnĂ­ rychlost: 20,9 km/s
Rektascenze radiantu: 05:28 (82,1°)
Deklinace radiantu: 2,0°
MeteorickĂ˝ roj: sporadickĂ˝
Elementy dráhy meteoroidu:
Vzdálenost v periheliu: 0,798 AU
Excentricita: 0,770
Sklon dráhy: 10,3°
Délka vzestupného uzlu: 99,5°
Argument perihelia: 55,4°
Střední anomálie: 354,7°
Epocha: 2024 DEC 31 00:19:21
orbit plot

NeinteraktivnĂ­ graf | InteraktivnĂ­ graf

position vs time
speed and acceleration