🇳🇴 🇬🇧 🇩🇪 🇨🇿 🇫🇮

Meteor Nesoddtangenin yllä 2024-12-31 00:19:21 UTC

KML-tiedosto  |  Interaktiivinen kartta

Kartta näyttää meteorin suuntahavainnot. Vaaleammat viivat näyttävät suunnat havaintoasemilta meteorin ilmestyessä, ja tummemmat viivat näyttävät, missä se viimeksi nähtiin. Sininen nuoli näyttää meteorin näkyvän lennon.

static map
height profile
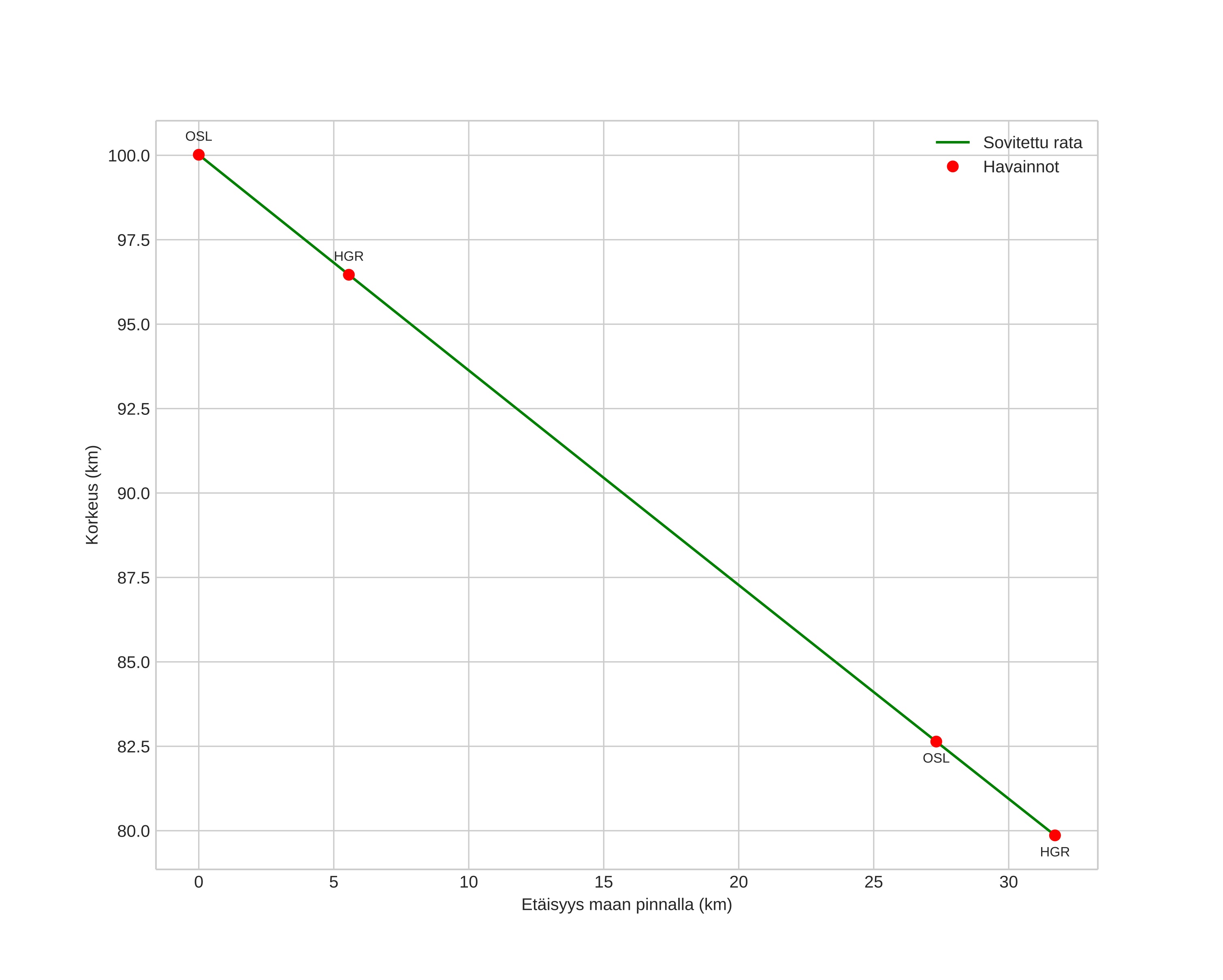
Meteorin ilmakehärata:
Alkukorkeus: 100,1 km
Loppukorkeus: 79,7 km
Alkupiste: 59,622N 10,251E
Loppupiste: 59,852N 10,591E
Suunta: 36,5°
Kallistuskulma: 32,6°
Tulonopeus: 20,9 km/s
Radiantin R,A,: 05:28 (82,1°)
Radiantin Dekl,: 2,0°
Meteoriparvi: Sporadinen
Meteoroidin rataelementit:
Perihelietäisyys: 0,798 AU
Eksentrisyys: 0,770
Inklinaatio: 10,3°
Nousevan solmun pituus: 99,5°
Perihelin argumentti: 55,4°
Keskianomalia: 354,7°
Epookki: 2024 DEC 31 00:19:21
orbit plot

Ei-interaktiivinen kuvaaja | Interaktiivinen kuvaaja

position vs time
speed and acceleration