🇳🇴 🇬🇧 🇩🇪 🇨🇿 🇫🇮

Meteor, poloha: Ulsteinvik 2024-12-31 03:12:27 UTC

Soubor KML  |  InteraktivnĂ­ mapa

Mapa zobrazuje dráhy meteoru. Světlejší čáry ukazují směry od pozorovacích stanic při objevení se meteoru a tmavší čáry, kde byl naposledy viděn. Modrá šipka značí viditelnou dráhu meteoru.

static map
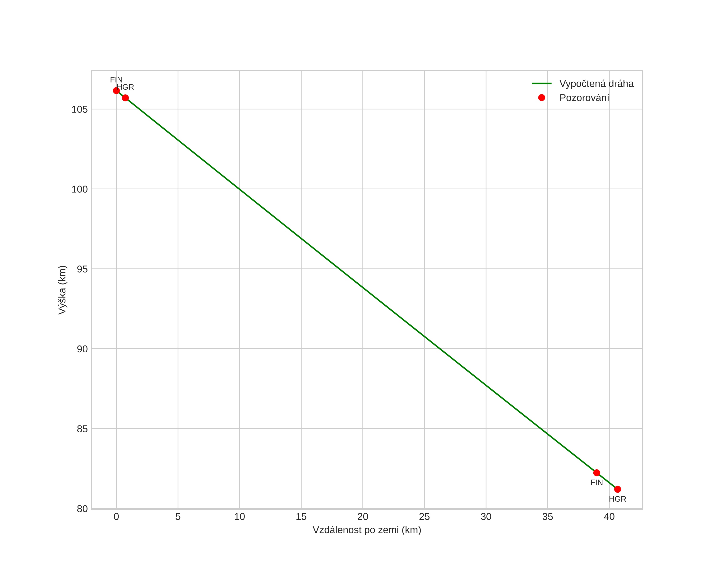
height profile
Atmosférická dráha meteoru:
Počáteční výška: 106,2 km
Konečná výška: 81,2 km
Počáteční poloha: 62,186N 5,770E
Konečná poloha: 62,553N 5,837E
Směr: 4,8°
Sklon: 31,4°
VstupnĂ­ rychlost: 63,5 km/s
Rektascenze radiantu: 09:56 (149,2°)
Deklinace radiantu: 3,3°
MeteorickĂ˝ roj: sporadickĂ˝
Elementy dráhy meteoroidu:
Vzdálenost v periheliu: 0,211 AU
Excentricita: 1,031
Sklon dráhy: 151,7°
Délka vzestupného uzlu: 99,6°
Argument perihelia: 123,1°
Střední anomálie: -1,9°
Epocha: 2024 DEC 31 03:12:27
orbit plot

NeinteraktivnĂ­ graf | InteraktivnĂ­ graf

position vs time
speed and acceleration