🇳🇴 🇬🇧 🇩🇪 🇨🇿 🇫🇮

Meteor Ulsteinvikin yllä 2024-12-31 03:12:27 UTC

KML-tiedosto  |  Interaktiivinen kartta

Kartta näyttää meteorin suuntahavainnot. Vaaleammat viivat näyttävät suunnat havaintoasemilta meteorin ilmestyessä, ja tummemmat viivat näyttävät, missä se viimeksi nähtiin. Sininen nuoli näyttää meteorin näkyvän lennon.

static map
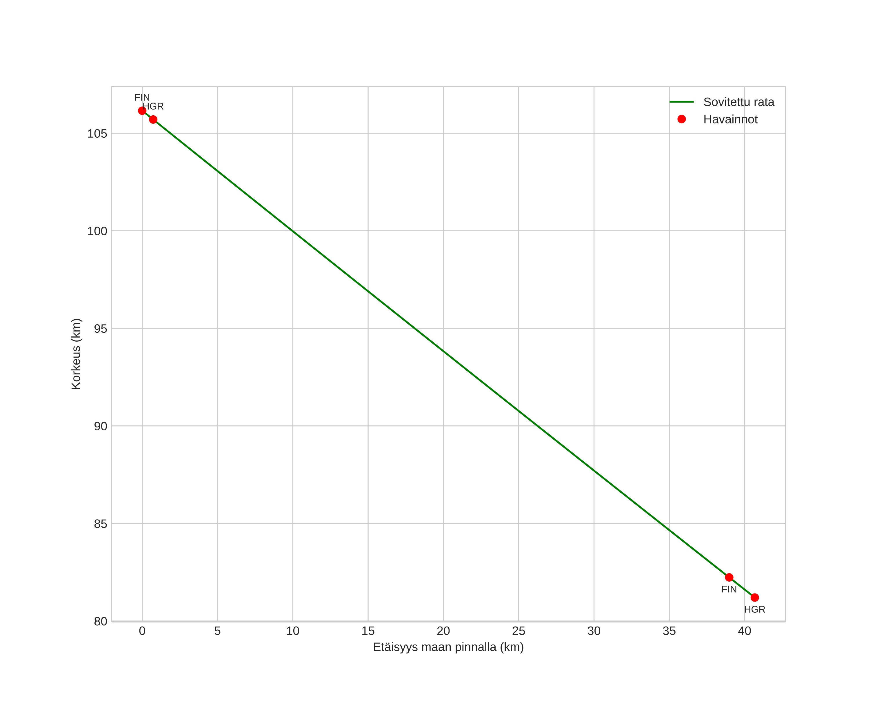
height profile
Meteorin ilmakehärata:
Alkukorkeus: 106,2 km
Loppukorkeus: 81,2 km
Alkupiste: 62,186N 5,770E
Loppupiste: 62,553N 5,837E
Suunta: 4,8°
Kallistuskulma: 31,4°
Tulonopeus: 63,5 km/s
Radiantin R,A,: 09:56 (149,2°)
Radiantin Dekl,: 3,3°
Meteoriparvi: Sporadinen
Meteoroidin rataelementit:
Perihelietäisyys: 0,211 AU
Eksentrisyys: 1,031
Inklinaatio: 151,7°
Nousevan solmun pituus: 99,6°
Perihelin argumentti: 123,1°
Keskianomalia: -1,9°
Epookki: 2024 DEC 31 03:12:27
orbit plot

Ei-interaktiivinen kuvaaja | Interaktiivinen kuvaaja

position vs time
speed and acceleration