🇳🇴 🇬🇧 🇩🇪 🇨🇿 🇫🇮

Meteor, poloha: Tønsberg 2025-01-01 22:38:26 UTC

Soubor KML  |  InteraktivnĂ­ mapa

Mapa zobrazuje dráhy meteoru. Světlejší čáry ukazují směry od pozorovacích stanic při objevení se meteoru a tmavší čáry, kde byl naposledy viděn. Modrá šipka značí viditelnou dráhu meteoru.

static map
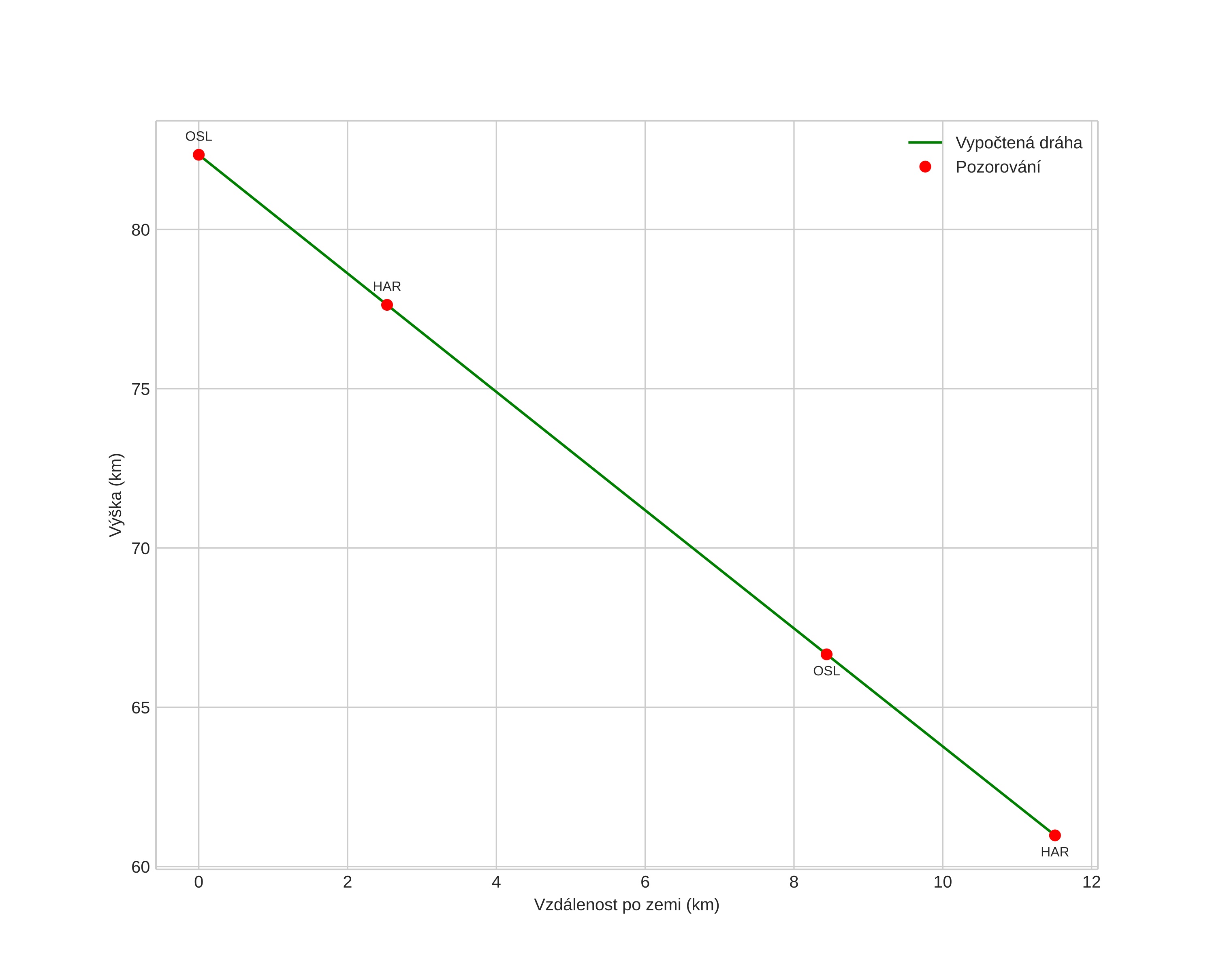
height profile
Atmosférická dráha meteoru:
Počáteční výška: 84,4 km
Konečná výška: 62,3 km
Počáteční poloha: 59,198N 10,355E
Konečná poloha: 59,296N 10,442E
Směr: 24,5°
Sklon: 61,7°
VstupnĂ­ rychlost: 20,1 km/s
Rektascenze radiantu: 05:05 (76,3°)
Deklinace radiantu: 29,5°
MeteorickĂ˝ roj: sporadickĂ˝
Elementy dráhy meteoroidu:
Vzdálenost v periheliu: 0,822 AU
Excentricita: 0,816
Sklon dráhy: 3,0°
Délka vzestupného uzlu: 281,4°
Argument perihelia: 230,7°
Střední anomálie: 356,6°
Epocha: 2025 JAN 01 22:38:26
orbit plot

NeinteraktivnĂ­ graf | InteraktivnĂ­ graf

position vs time
speed and acceleration