🇳🇴 🇬🇧 🇩🇪 🇨🇿 🇫🇮

Meteor Tønsbergin yllä 2025-01-01 22:38:26 UTC

KML-tiedosto  |  Interaktiivinen kartta

Kartta näyttää meteorin suuntahavainnot. Vaaleammat viivat näyttävät suunnat havaintoasemilta meteorin ilmestyessä, ja tummemmat viivat näyttävät, missä se viimeksi nähtiin. Sininen nuoli näyttää meteorin näkyvän lennon.

static map
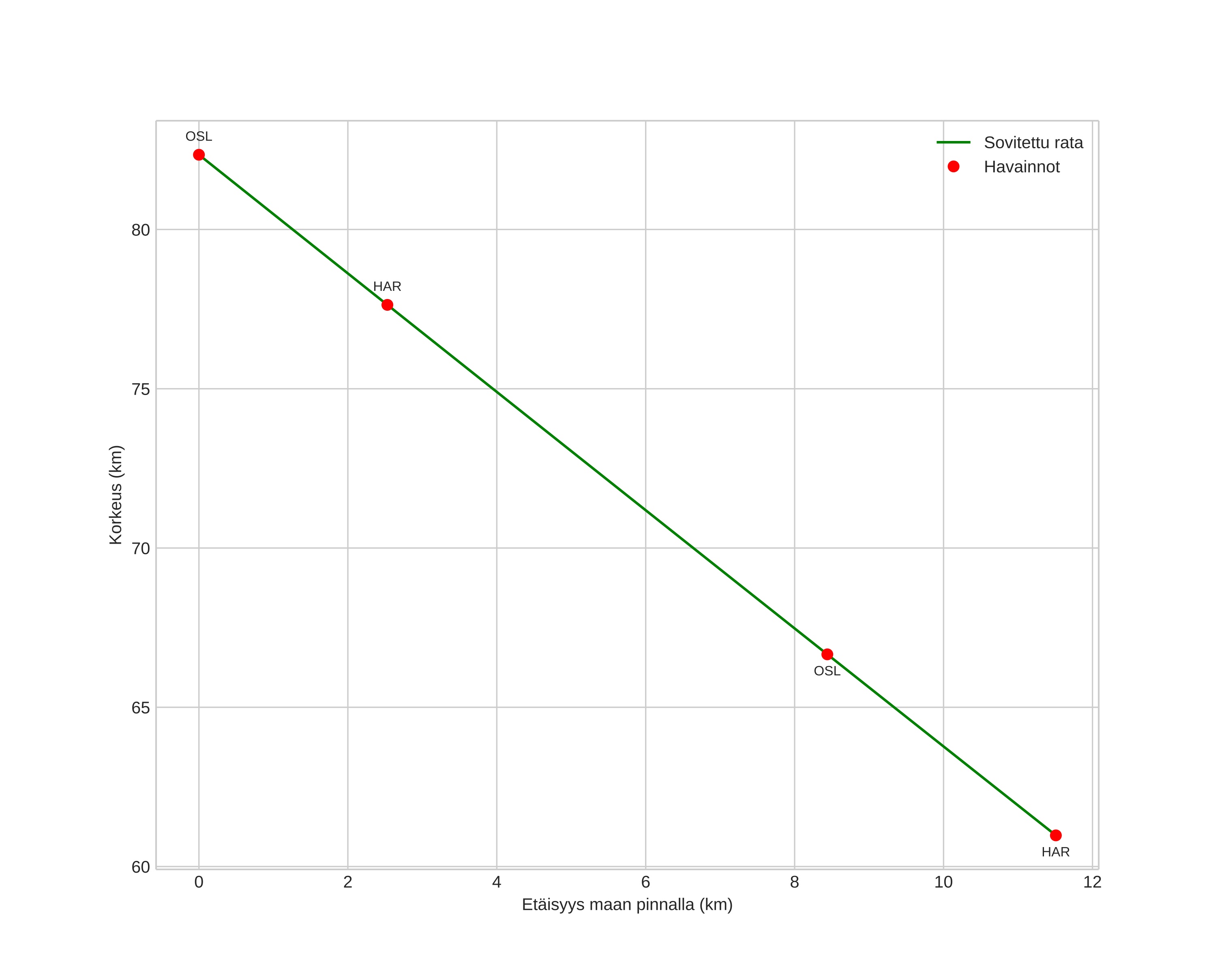
height profile
Meteorin ilmakehärata:
Alkukorkeus: 84,4 km
Loppukorkeus: 62,3 km
Alkupiste: 59,198N 10,355E
Loppupiste: 59,296N 10,442E
Suunta: 24,5°
Kallistuskulma: 61,7°
Tulonopeus: 20,1 km/s
Radiantin R,A,: 05:05 (76,3°)
Radiantin Dekl,: 29,5°
Meteoriparvi: Sporadinen
Meteoroidin rataelementit:
Perihelietäisyys: 0,822 AU
Eksentrisyys: 0,816
Inklinaatio: 3,0°
Nousevan solmun pituus: 281,4°
Perihelin argumentti: 230,7°
Keskianomalia: 356,6°
Epookki: 2025 JAN 01 22:38:26
orbit plot

Ei-interaktiivinen kuvaaja | Interaktiivinen kuvaaja

position vs time
speed and acceleration