🇳🇴 🇬🇧 🇩🇪 🇨🇿 🇫🇮

Meteor, poloha: Töcksfors 2025-01-01 23:47:53 UTC

Soubor KML  |  InteraktivnĂ­ mapa

Mapa zobrazuje dráhy meteoru. Světlejší čáry ukazují směry od pozorovacích stanic při objevení se meteoru a tmavší čáry, kde byl naposledy viděn. Modrá šipka značí viditelnou dráhu meteoru.

static map
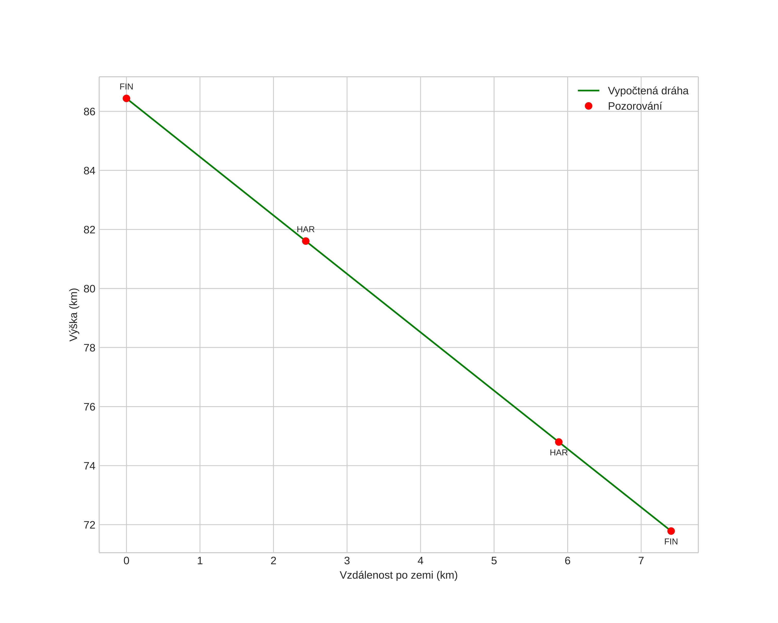
height profile
Atmosférická dráha meteoru:
Počáteční výška: 90,5 km
Konečná výška: 71,1 km
Počáteční poloha: 59,658N 11,657E
Konečná poloha: 59,699N 11,811E
Směr: 62,3°
Sklon: 63,3°
VstupnĂ­ rychlost: 18,6 km/s
Rektascenze radiantu: 04:58 (74,7°)
Deklinace radiantu: 38,8°
MeteorickĂ˝ roj: sporadickĂ˝
Elementy dráhy meteoroidu:
Vzdálenost v periheliu: 0,844 AU
Excentricita: 0,709
Sklon dráhy: 6,6°
Délka vzestupného uzlu: 281,5°
Argument perihelia: 228,9°
Střední anomálie: 353,5°
Epocha: 2025 JAN 01 23:47:53
orbit plot

NeinteraktivnĂ­ graf | InteraktivnĂ­ graf

position vs time
speed and acceleration