🇳🇴 🇬🇧 🇩🇪 🇨🇿 🇫🇮

Meteor Töcksforsin yllä 2025-01-01 23:47:53 UTC

KML-tiedosto  |  Interaktiivinen kartta

Kartta näyttää meteorin suuntahavainnot. Vaaleammat viivat näyttävät suunnat havaintoasemilta meteorin ilmestyessä, ja tummemmat viivat näyttävät, missä se viimeksi nähtiin. Sininen nuoli näyttää meteorin näkyvän lennon.

static map
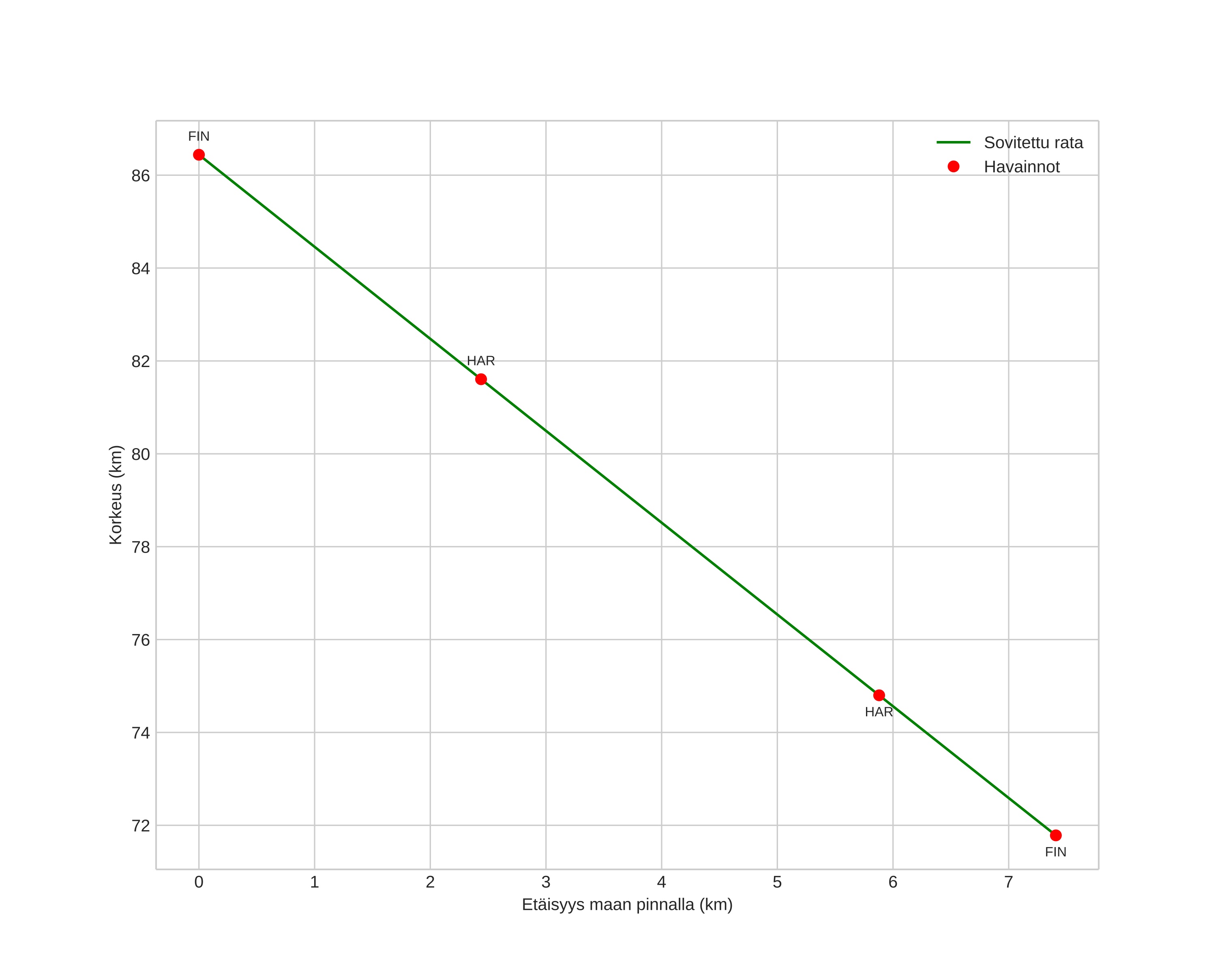
height profile
Meteorin ilmakehärata:
Alkukorkeus: 90,5 km
Loppukorkeus: 71,1 km
Alkupiste: 59,658N 11,657E
Loppupiste: 59,699N 11,811E
Suunta: 62,3°
Kallistuskulma: 63,3°
Tulonopeus: 18,6 km/s
Radiantin R,A,: 04:58 (74,7°)
Radiantin Dekl,: 38,8°
Meteoriparvi: Sporadinen
Meteoroidin rataelementit:
Perihelietäisyys: 0,844 AU
Eksentrisyys: 0,709
Inklinaatio: 6,6°
Nousevan solmun pituus: 281,5°
Perihelin argumentti: 228,9°
Keskianomalia: 353,5°
Epookki: 2025 JAN 01 23:47:53
orbit plot

Ei-interaktiivinen kuvaaja | Interaktiivinen kuvaaja

position vs time
speed and acceleration