🇳🇴 🇬🇧 🇩🇪 🇨🇿 🇫🇮

Meteor, poloha: Hønefoss 2025-01-02 02:24:31 UTC

Soubor KML  |  InteraktivnĂ­ mapa

Mapa zobrazuje dráhy meteoru. Světlejší čáry ukazují směry od pozorovacích stanic při objevení se meteoru a tmavší čáry, kde byl naposledy viděn. Modrá šipka značí viditelnou dráhu meteoru.

static map
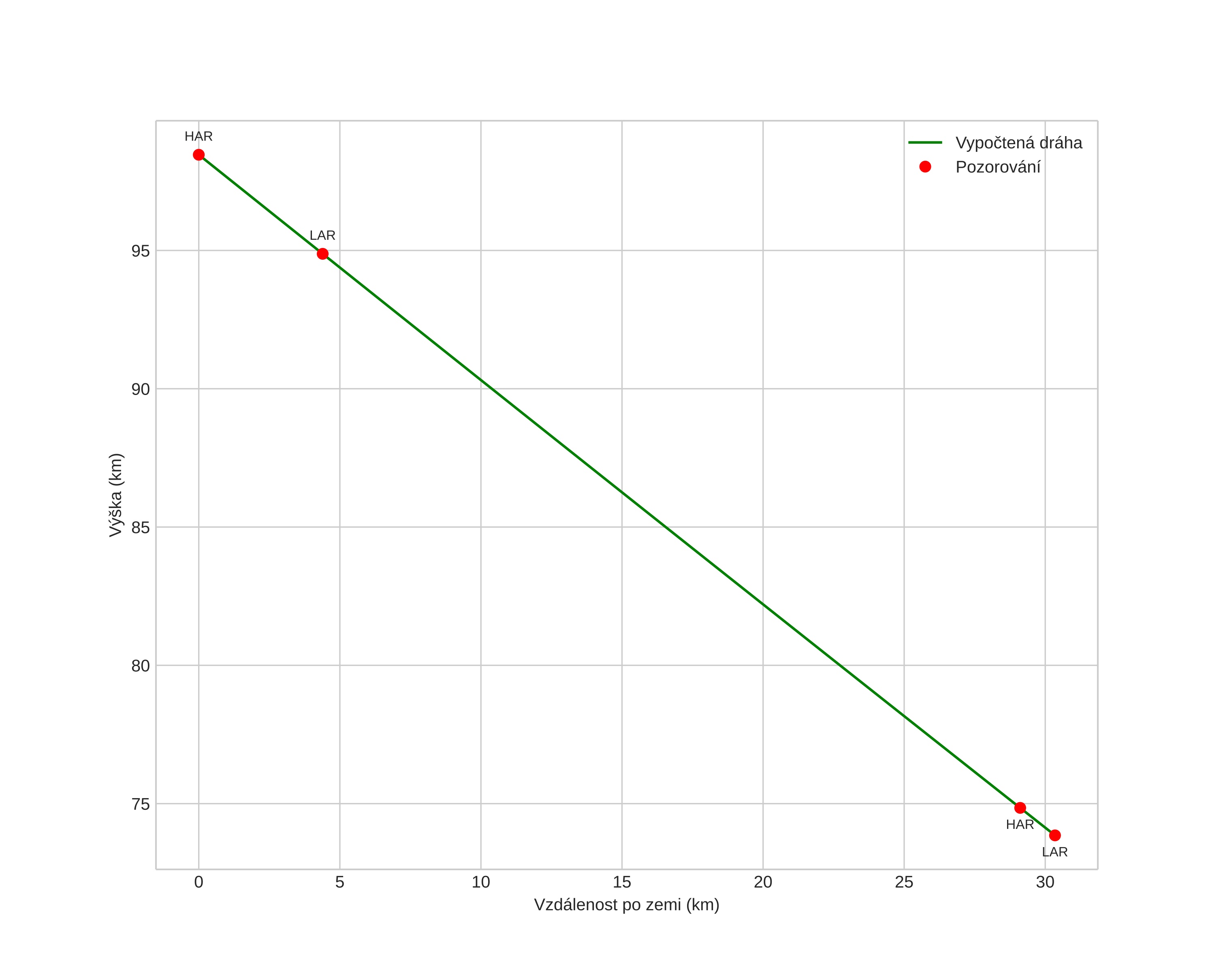
height profile
Atmosférická dráha meteoru:
Počáteční výška: 100,2 km
Konečná výška: 72,8 km
Počáteční poloha: 59,991N 9,649E
Konečná poloha: 60,211N 10,060E
Směr: 42,8°
Sklon: 39,3°
VstupnĂ­ rychlost: 25,8 km/s
Rektascenze radiantu: 07:31 (112,9°)
Deklinace radiantu: 12,7°
MeteorickĂ˝ roj: sporadickĂ˝
Elementy dráhy meteoroidu:
Vzdálenost v periheliu: 0,437 AU
Excentricita: 0,703
Sklon dráhy: 8,0°
Délka vzestupného uzlu: 101,6°
Argument perihelia: 110,2°
Střední anomálie: 333,7°
Epocha: 2025 JAN 02 02:24:31
orbit plot

NeinteraktivnĂ­ graf | InteraktivnĂ­ graf

position vs time
speed and acceleration