🇳🇴 🇬🇧 🇩🇪 🇨🇿 🇫🇮

Meteor Hønefossin yllä 2025-01-02 02:24:31 UTC

KML-tiedosto  |  Interaktiivinen kartta

Kartta näyttää meteorin suuntahavainnot. Vaaleammat viivat näyttävät suunnat havaintoasemilta meteorin ilmestyessä, ja tummemmat viivat näyttävät, missä se viimeksi nähtiin. Sininen nuoli näyttää meteorin näkyvän lennon.

static map
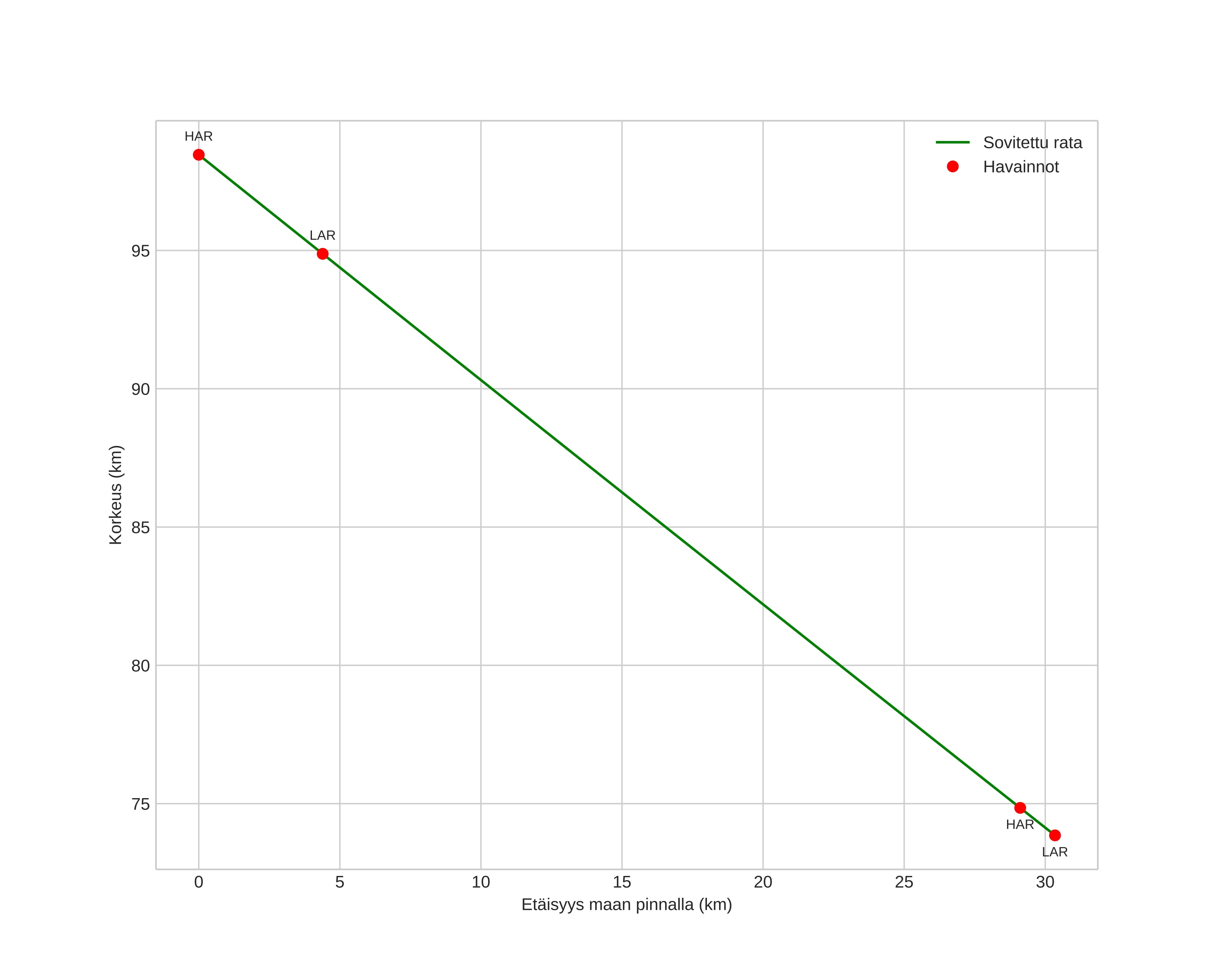
height profile
Meteorin ilmakehärata:
Alkukorkeus: 100,2 km
Loppukorkeus: 72,8 km
Alkupiste: 59,991N 9,649E
Loppupiste: 60,211N 10,060E
Suunta: 42,8°
Kallistuskulma: 39,3°
Tulonopeus: 25,8 km/s
Radiantin R,A,: 07:31 (112,9°)
Radiantin Dekl,: 12,7°
Meteoriparvi: Sporadinen
Meteoroidin rataelementit:
Perihelietäisyys: 0,437 AU
Eksentrisyys: 0,703
Inklinaatio: 8,0°
Nousevan solmun pituus: 101,6°
Perihelin argumentti: 110,2°
Keskianomalia: 333,7°
Epookki: 2025 JAN 02 02:24:31
orbit plot

Ei-interaktiivinen kuvaaja | Interaktiivinen kuvaaja

position vs time
speed and acceleration