🇳🇴 🇬🇧 🇩🇪 🇨🇿 🇫🇮

Meteor, poloha: Larkollen 2025-01-02 04:04:32 UTC

Soubor KML  |  InteraktivnĂ­ mapa

Mapa zobrazuje dráhy meteoru. Světlejší čáry ukazují směry od pozorovacích stanic při objevení se meteoru a tmavší čáry, kde byl naposledy viděn. Modrá šipka značí viditelnou dráhu meteoru.

static map
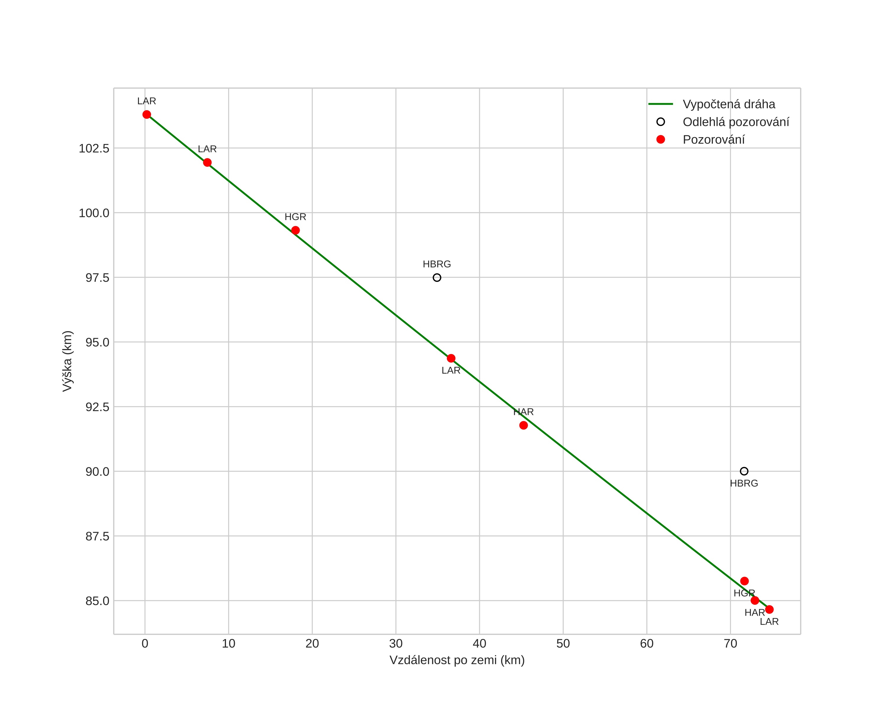
height profile
Atmosférická dráha meteoru:
Počáteční výška: 104,7 km
Konečná výška: 85,0 km
Počáteční poloha: 59,172N 11,916E
Konečná poloha: 59,260N 10,599E
Směr: 278,0°
Sklon: 14,6°
VstupnĂ­ rychlost: 49,7 km/s
Rektascenze radiantu: 16:43 (250,9°)
Deklinace radiantu: 7,6°
MeteorickĂ˝ roj: sporadickĂ˝
Elementy dráhy meteoroidu:
Vzdálenost v periheliu: 0,334 AU
Excentricita: 1,011
Sklon dráhy: 73,3°
Délka vzestupného uzlu: 281,7°
Argument perihelia: 71,7°
Střední anomálie: 0,2°
Epocha: 2025 JAN 02 04:04:32
orbit plot

NeinteraktivnĂ­ graf | InteraktivnĂ­ graf

position vs time
speed and acceleration

Harestua (HAR) cam4


gnomonic
Videa
• Gnomonická
• Gnomonická se souřadnicemi
• Původní
• Původní se souřadnicemi
Obrázky
• Gnomonická
• Gnomonická se souřadnicemi
• Gnomonická s popisky
• Původní
• Původní se souřadnicemi
Textové soubory
• Detekce
• Pozorování
• Souřadnice
• Protokol
Jasnost