🇳🇴 🇬🇧 🇩🇪 🇨🇿 🇫🇮

Meteor Larkollenin yllä 2025-01-02 04:04:32 UTC

KML-tiedosto  |  Interaktiivinen kartta

Kartta näyttää meteorin suuntahavainnot. Vaaleammat viivat näyttävät suunnat havaintoasemilta meteorin ilmestyessä, ja tummemmat viivat näyttävät, missä se viimeksi nähtiin. Sininen nuoli näyttää meteorin näkyvän lennon.

static map
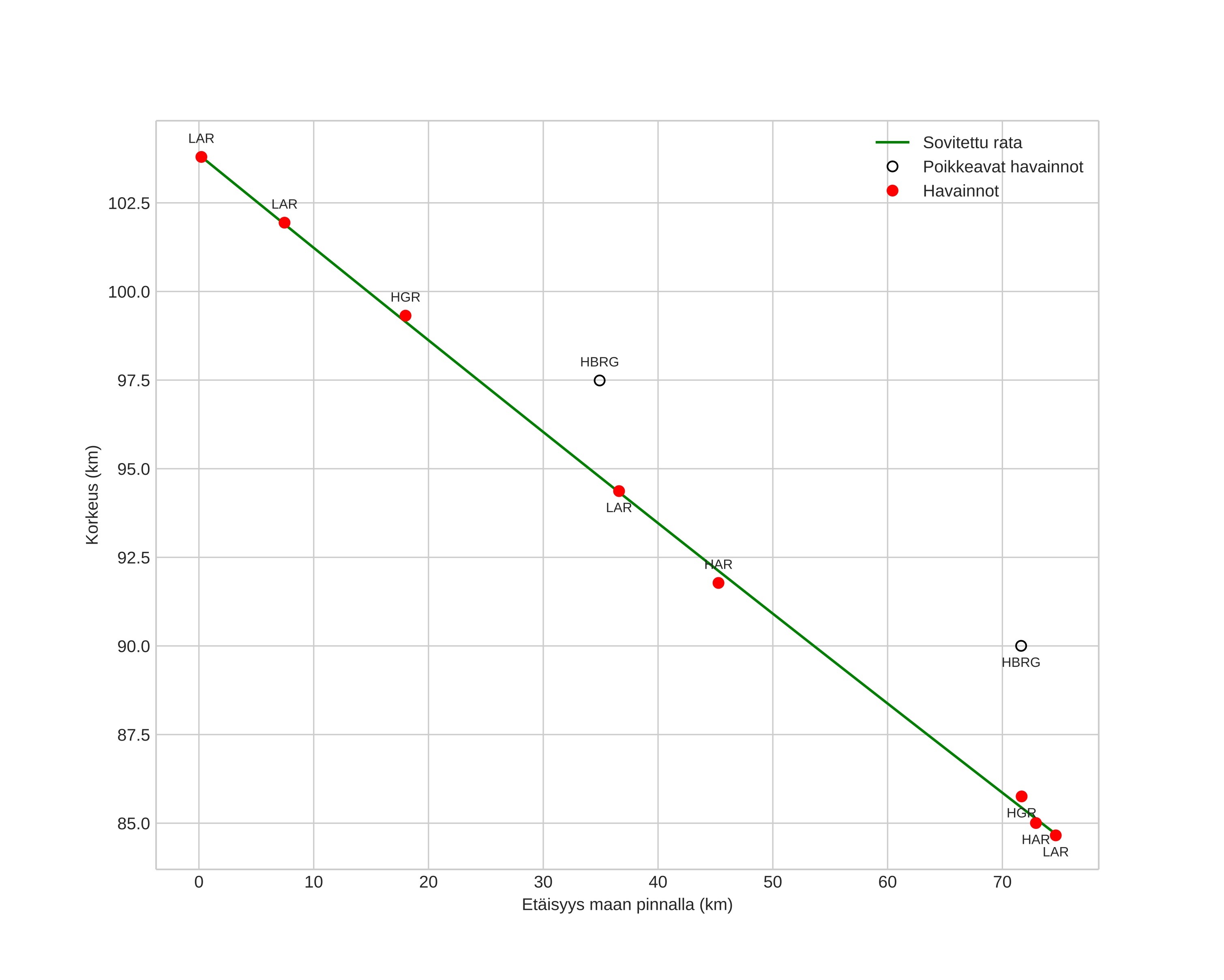
height profile
Meteorin ilmakehärata:
Alkukorkeus: 104,7 km
Loppukorkeus: 85,0 km
Alkupiste: 59,172N 11,916E
Loppupiste: 59,260N 10,599E
Suunta: 278,0°
Kallistuskulma: 14,6°
Tulonopeus: 49,7 km/s
Radiantin R,A,: 16:43 (250,9°)
Radiantin Dekl,: 7,6°
Meteoriparvi: Sporadinen
Meteoroidin rataelementit:
Perihelietäisyys: 0,334 AU
Eksentrisyys: 1,011
Inklinaatio: 73,3°
Nousevan solmun pituus: 281,7°
Perihelin argumentti: 71,7°
Keskianomalia: 0,2°
Epookki: 2025 JAN 02 04:04:32
orbit plot

Ei-interaktiivinen kuvaaja | Interaktiivinen kuvaaja

position vs time
speed and acceleration

Harestua (HAR) cam4


gnomonic
Videot:
• Gnomoninen
• Gnomoninen koordinaateilla
• Alkuperäinen
• Alkuperäinen koordinaateilla
Kuvat:
• Gnomoninen
• Gnomoninen koordinaateilla
• Gnomoninen merkinnöillä
• Alkuperäinen
• Alkuperäinen koordinaateilla
Tekstitiedostot:
• Havaintoraportti
• Observaatio
• Koordinaatit
• Loki
Kirkkaus