🇳🇴 🇬🇧 🇩🇪 🇨🇿 🇫🇮

Meteor, poloha: Flisa 2025-01-02 06:18:50 UTC

Soubor KML  |  Interaktivní mapa

Mapa zobrazuje dráhy meteoru. Světlejší čáry ukazují směry od pozorovacích stanic při objevení se meteoru a tmavší čáry, kde byl naposledy viděn. Modrá šipka značí viditelnou dráhu meteoru.

static map
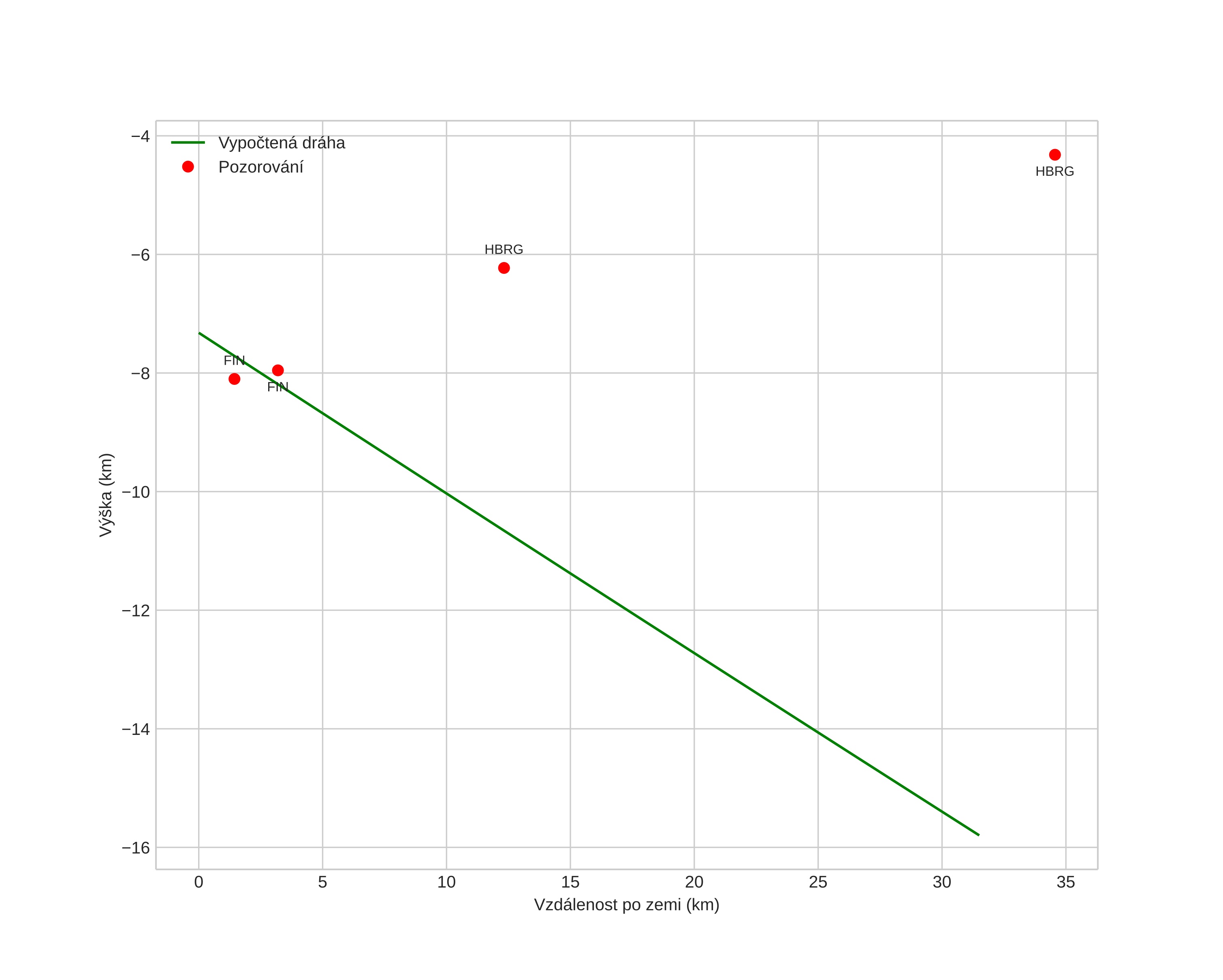
height profile
Atmosférická dráha meteoru:
Počáteční výška: -7,6 km
Konečná výška: -15,9 km
Počáteční poloha: 60,959N 12,620E
Konečná poloha: 60,730N 12,321E
Směr: 212,6°
Sklon: 15,4°
Vstupní rychlost: 0,0 km/s
position vs time
speed and acceleration