🇳🇴 🇬🇧 🇩🇪 🇨🇿 🇫🇮

Meteor Flisan yllä 2025-01-02 06:18:50 UTC

KML-tiedosto  |  Interaktiivinen kartta

Kartta näyttää meteorin suuntahavainnot. Vaaleammat viivat näyttävät suunnat havaintoasemilta meteorin ilmestyessä, ja tummemmat viivat näyttävät, missä se viimeksi nähtiin. Sininen nuoli näyttää meteorin näkyvän lennon.

static map
height profile
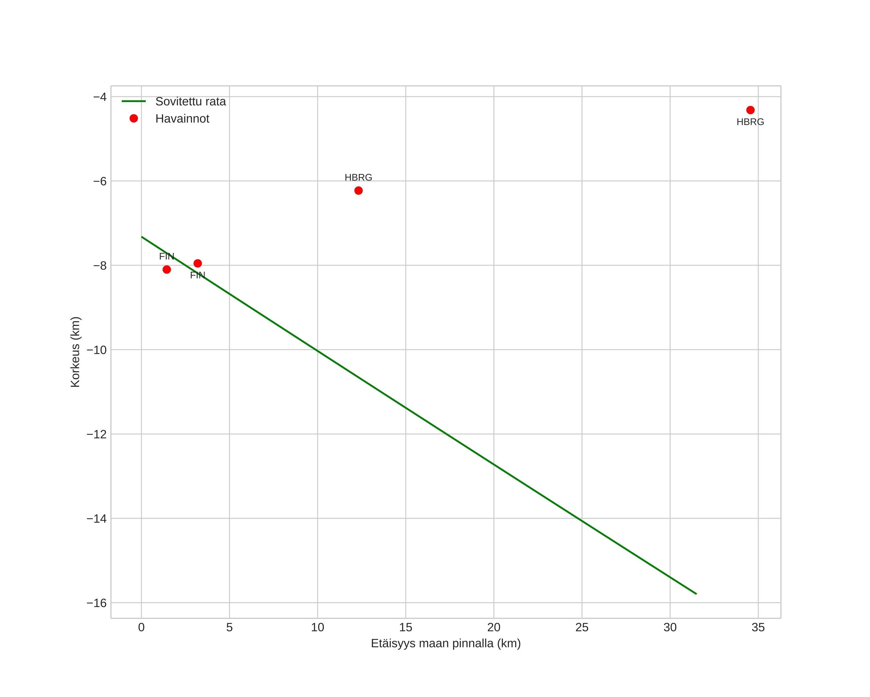
Meteorin ilmakehärata:
Alkukorkeus: -7,6 km
Loppukorkeus: -15,9 km
Alkupiste: 60,959N 12,620E
Loppupiste: 60,730N 12,321E
Suunta: 212,6°
Kallistuskulma: 15,4°
Tulonopeus: 0,0 km/s
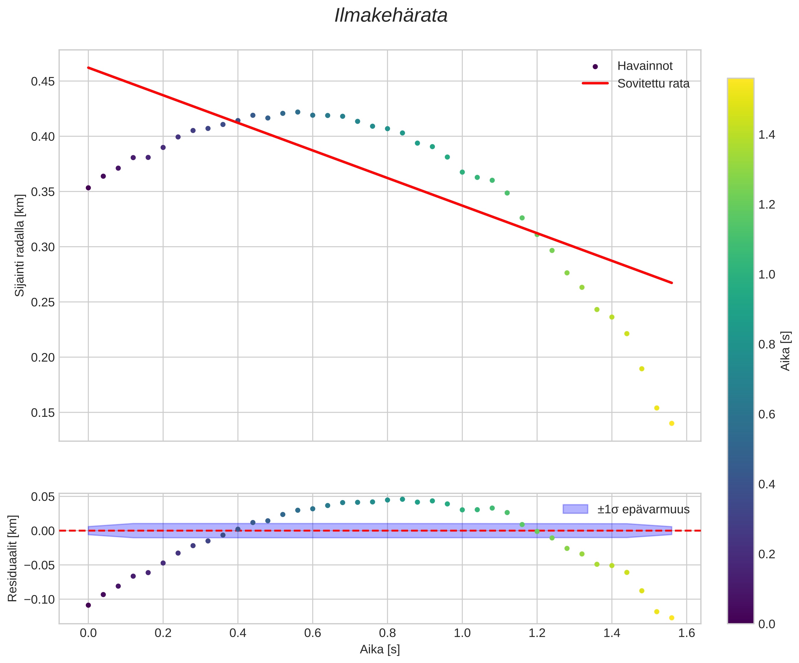
position vs time
speed and acceleration