🇳🇴 🇬🇧 🇩🇪 🇨🇿 🇫🇮

Meteor, poloha: Krylbo 2025-01-03 19:47:35 UTC

Soubor KML  |  InteraktivnĂ­ mapa

Mapa zobrazuje dráhy meteoru. Světlejší čáry ukazují směry od pozorovacích stanic při objevení se meteoru a tmavší čáry, kde byl naposledy viděn. Modrá šipka značí viditelnou dráhu meteoru.

static map
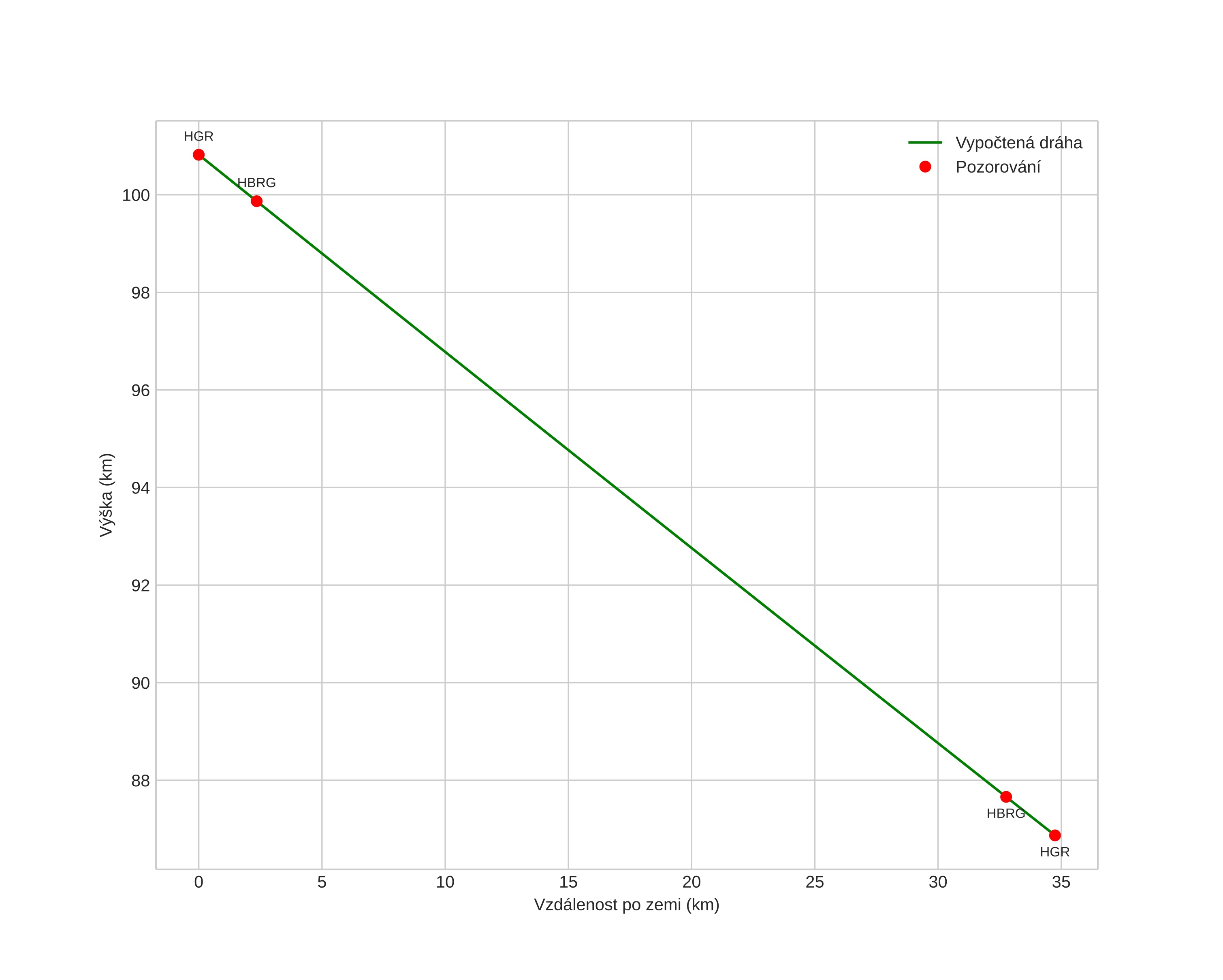
height profile
Atmosférická dráha meteoru:
Počáteční výška: 101,1 km
Konečná výška: 87,1 km
Počáteční poloha: 60,290N 16,422E
Konečná poloha: 59,961N 16,367E
Směr: 184,9°
Sklon: 20,9°
VstupnĂ­ rychlost: 42,4 km/s
Rektascenze radiantu: 15:20 (230,2°)
Deklinace radiantu: 49,2°
MeteorickĂ˝ roj: Kvadrantidy
Elementy dráhy meteoroidu:
Vzdálenost v periheliu: 0,978 AU
Excentricita: 0,656
Sklon dráhy: 71,7°
Délka vzestupného uzlu: 283,3°
Argument perihelia: 170,9°
Střední anomálie: 1,4°
Epocha: 2025 JAN 03 19:47:35
orbit plot

NeinteraktivnĂ­ graf | InteraktivnĂ­ graf

position vs time
speed and acceleration