🇳🇴 🇬🇧 🇩🇪 🇨🇿 🇫🇮

Meteor Krylbon yllä 2025-01-03 19:47:35 UTC

KML-tiedosto  |  Interaktiivinen kartta

Kartta näyttää meteorin suuntahavainnot. Vaaleammat viivat näyttävät suunnat havaintoasemilta meteorin ilmestyessä, ja tummemmat viivat näyttävät, missä se viimeksi nähtiin. Sininen nuoli näyttää meteorin näkyvän lennon.

static map
height profile
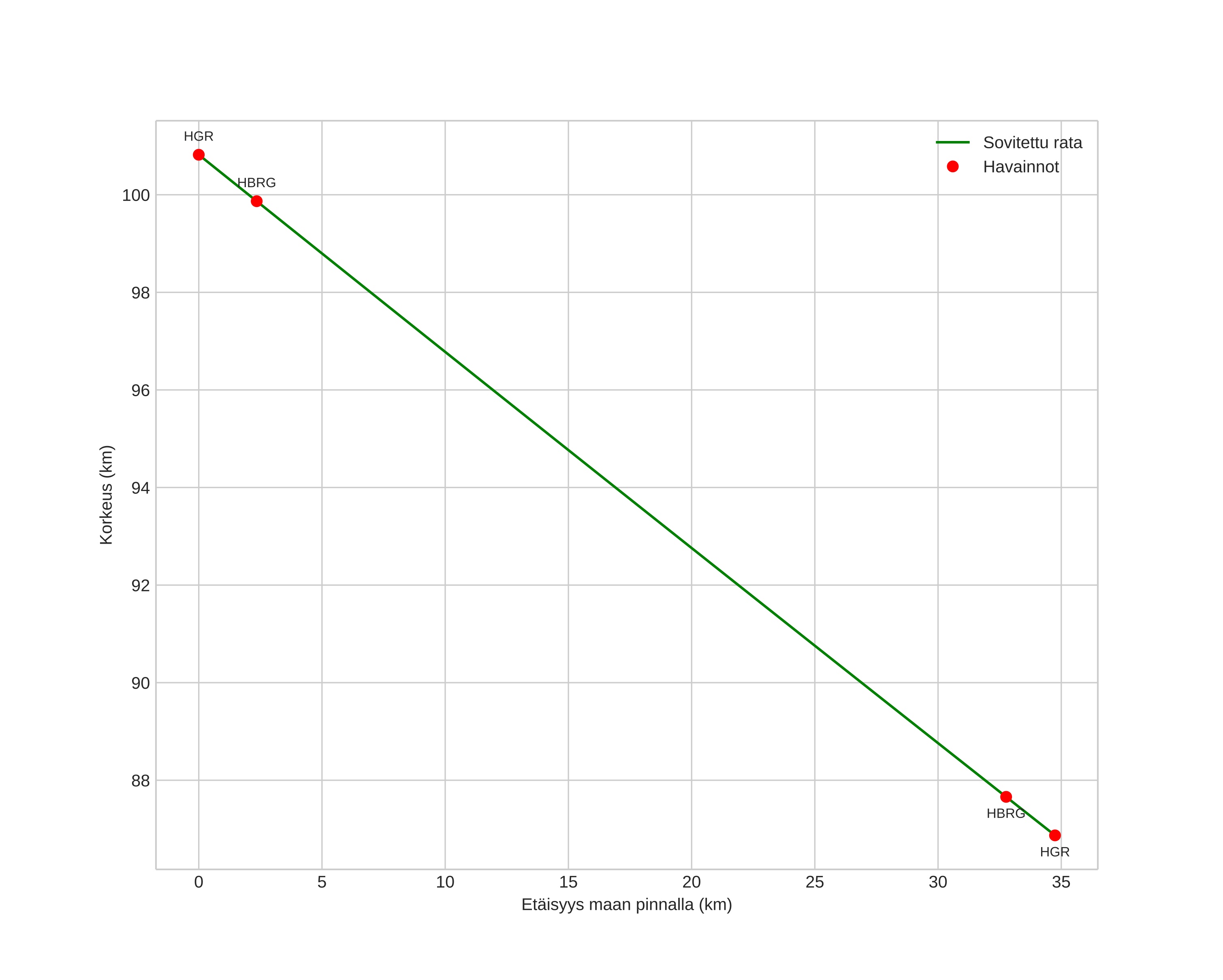
Meteorin ilmakehärata:
Alkukorkeus: 101,1 km
Loppukorkeus: 87,1 km
Alkupiste: 60,290N 16,422E
Loppupiste: 59,961N 16,367E
Suunta: 184,9°
Kallistuskulma: 20,9°
Tulonopeus: 42,4 km/s
Radiantin R,A,: 15:20 (230,2°)
Radiantin Dekl,: 49,2°
Meteoriparvi: Kvadrantidit
Meteoroidin rataelementit:
Perihelietäisyys: 0,978 AU
Eksentrisyys: 0,656
Inklinaatio: 71,7°
Nousevan solmun pituus: 283,3°
Perihelin argumentti: 170,9°
Keskianomalia: 1,4°
Epookki: 2025 JAN 03 19:47:35
orbit plot

Ei-interaktiivinen kuvaaja | Interaktiivinen kuvaaja

position vs time
speed and acceleration