🇳🇴 🇬🇧 🇩🇪 🇨🇿 🇫🇮

Meteor, poloha: Orsa 2025-01-03 19:52:06 UTC

Soubor KML  |  InteraktivnĂ­ mapa

Mapa zobrazuje dráhy meteoru. Světlejší čáry ukazují směry od pozorovacích stanic při objevení se meteoru a tmavší čáry, kde byl naposledy viděn. Modrá šipka značí viditelnou dráhu meteoru.

static map
height profile
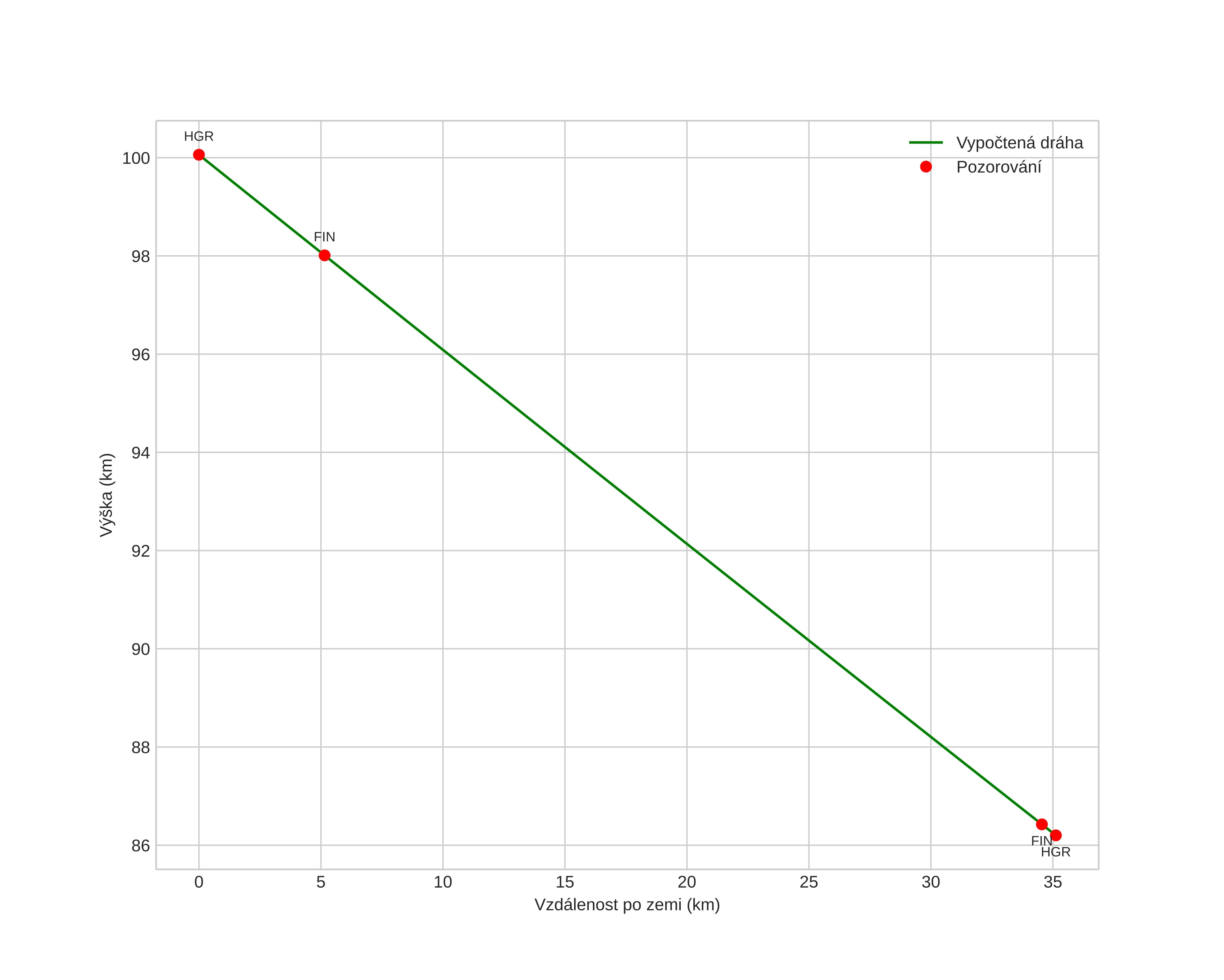
Atmosférická dráha meteoru:
Počáteční výška: 100,0 km
Konečná výška: 86,1 km
Počáteční poloha: 61,875N 14,665E
Konečná poloha: 61,558N 14,632E
Směr: 182,9°
Sklon: 21,5°
VstupnĂ­ rychlost: 42,6 km/s
Rektascenze radiantu: 15:29 (232,5°)
Deklinace radiantu: 48,3°
MeteorickĂ˝ roj: Kvadrantidy
Elementy dráhy meteoroidu:
Vzdálenost v periheliu: 0,973 AU
Excentricita: 0,687
Sklon dráhy: 71,5°
Délka vzestupného uzlu: 283,4°
Argument perihelia: 166,9°
Střední anomálie: 1,8°
Epocha: 2025 JAN 03 19:52:06
orbit plot

NeinteraktivnĂ­ graf | InteraktivnĂ­ graf

position vs time
speed and acceleration