🇳🇴 🇬🇧 🇩🇪 🇨🇿 🇫🇮

Meteor Orsan yllä 2025-01-03 19:52:06 UTC

KML-tiedosto  |  Interaktiivinen kartta

Kartta näyttää meteorin suuntahavainnot. Vaaleammat viivat näyttävät suunnat havaintoasemilta meteorin ilmestyessä, ja tummemmat viivat näyttävät, missä se viimeksi nähtiin. Sininen nuoli näyttää meteorin näkyvän lennon.

static map
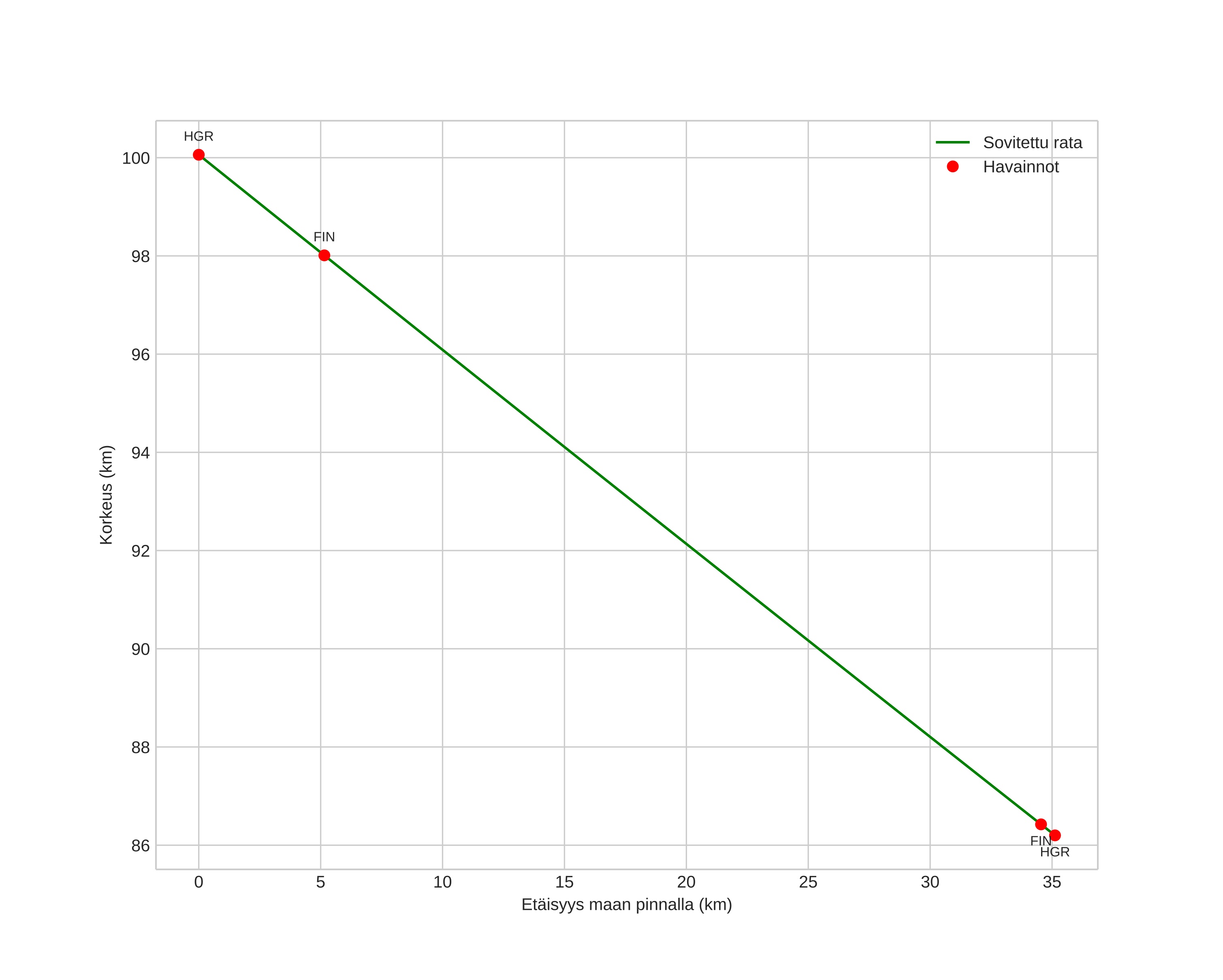
height profile
Meteorin ilmakehärata:
Alkukorkeus: 100,0 km
Loppukorkeus: 86,1 km
Alkupiste: 61,875N 14,665E
Loppupiste: 61,558N 14,632E
Suunta: 182,9°
Kallistuskulma: 21,5°
Tulonopeus: 42,6 km/s
Radiantin R,A,: 15:29 (232,5°)
Radiantin Dekl,: 48,3°
Meteoriparvi: Kvadrantidit
Meteoroidin rataelementit:
Perihelietäisyys: 0,973 AU
Eksentrisyys: 0,687
Inklinaatio: 71,5°
Nousevan solmun pituus: 283,4°
Perihelin argumentti: 166,9°
Keskianomalia: 1,8°
Epookki: 2025 JAN 03 19:52:06
orbit plot

Ei-interaktiivinen kuvaaja | Interaktiivinen kuvaaja

position vs time
speed and acceleration