🇳🇴 🇬🇧 🇩🇪 🇨🇿 🇫🇮

Meteor, poloha: Stokke 2025-01-03 20:31:21 UTC

Soubor KML  |  InteraktivnĂ­ mapa

Mapa zobrazuje dráhy meteoru. Světlejší čáry ukazují směry od pozorovacích stanic při objevení se meteoru a tmavší čáry, kde byl naposledy viděn. Modrá šipka značí viditelnou dráhu meteoru.

static map
height profile
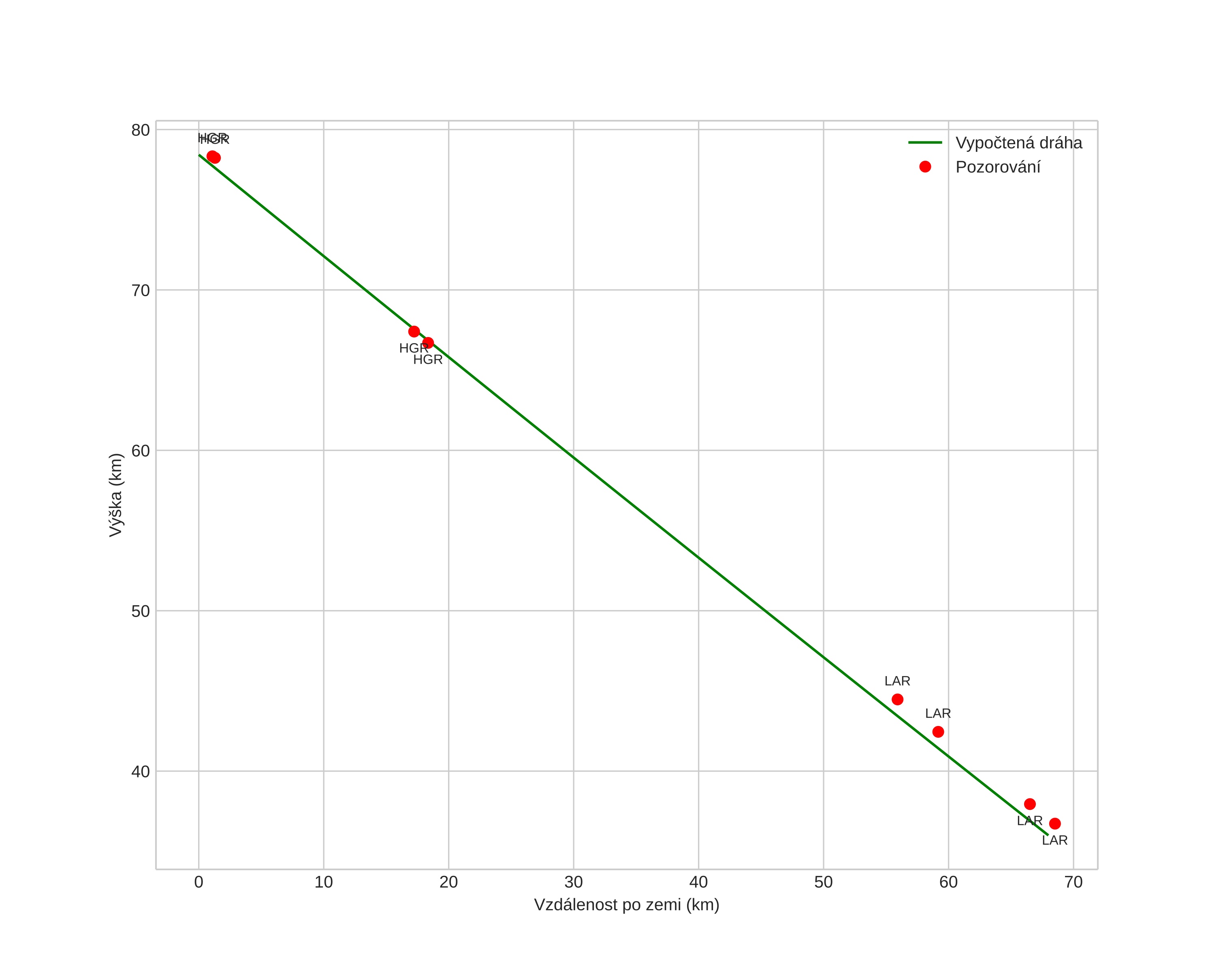
Atmosférická dráha meteoru:
Počáteční výška: 79,6 km
Konečná výška: 38,7 km
Počáteční poloha: 59,825N 10,501E
Konečná poloha: 59,197N 10,308E
Směr: 188,9°
Sklon: 30,1°
VstupnĂ­ rychlost: 29,3 km/s
Rektascenze radiantu: 15:11 (227,9°)
Deklinace radiantu: 57,3°
MeteorickĂ˝ roj: sporadickĂ˝
Elementy dráhy meteoroidu:
Vzdálenost v periheliu: 0,977 AU
Excentricita: 0,181
Sklon dráhy: 50,8°
Délka vzestupného uzlu: 283,4°
Argument perihelia: 196,2°
Střední anomálie: 348,9°
Epocha: 2025 JAN 03 20:31:21
orbit plot

NeinteraktivnĂ­ graf | InteraktivnĂ­ graf

position vs time
speed and acceleration