🇳🇴 🇬🇧 🇩🇪 🇨🇿 🇫🇮

Meteor Stokken yllä 2025-01-03 20:31:21 UTC

KML-tiedosto  |  Interaktiivinen kartta

Kartta näyttää meteorin suuntahavainnot. Vaaleammat viivat näyttävät suunnat havaintoasemilta meteorin ilmestyessä, ja tummemmat viivat näyttävät, missä se viimeksi nähtiin. Sininen nuoli näyttää meteorin näkyvän lennon.

static map
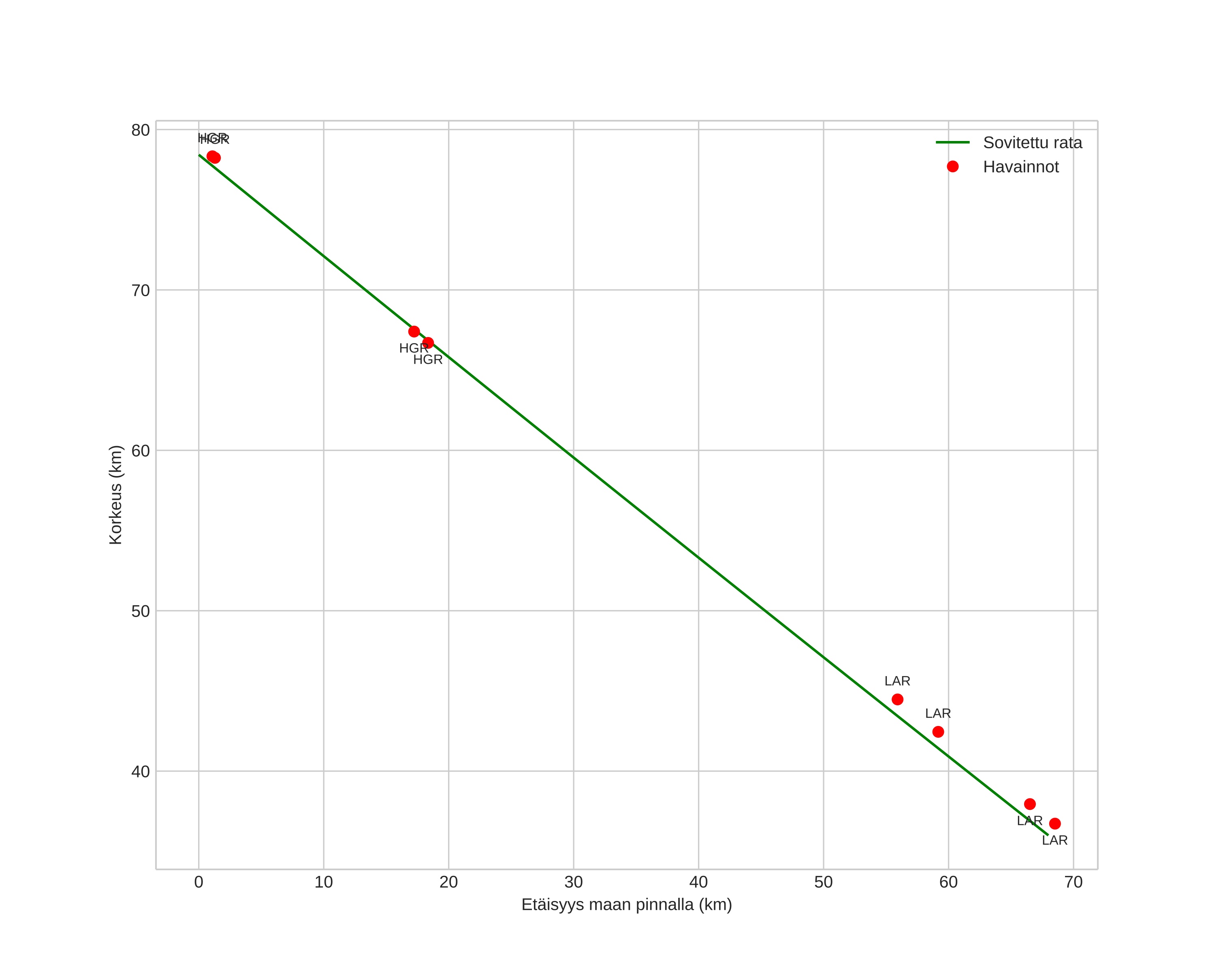
height profile
Meteorin ilmakehärata:
Alkukorkeus: 79,6 km
Loppukorkeus: 38,7 km
Alkupiste: 59,825N 10,501E
Loppupiste: 59,197N 10,308E
Suunta: 188,9°
Kallistuskulma: 30,1°
Tulonopeus: 29,3 km/s
Radiantin R,A,: 15:11 (227,9°)
Radiantin Dekl,: 57,3°
Meteoriparvi: Sporadinen
Meteoroidin rataelementit:
Perihelietäisyys: 0,977 AU
Eksentrisyys: 0,181
Inklinaatio: 50,8°
Nousevan solmun pituus: 283,4°
Perihelin argumentti: 196,2°
Keskianomalia: 348,9°
Epookki: 2025 JAN 03 20:31:21
orbit plot

Ei-interaktiivinen kuvaaja | Interaktiivinen kuvaaja

position vs time
speed and acceleration