🇳🇴 🇬🇧 🇩🇪 🇨🇿 🇫🇮

Meteor, poloha: Stange 2025-01-03 21:16:57 UTC

Soubor KML  |  InteraktivnĂ­ mapa

Mapa zobrazuje dráhy meteoru. Světlejší čáry ukazují směry od pozorovacích stanic při objevení se meteoru a tmavší čáry, kde byl naposledy viděn. Modrá šipka značí viditelnou dráhu meteoru.

static map
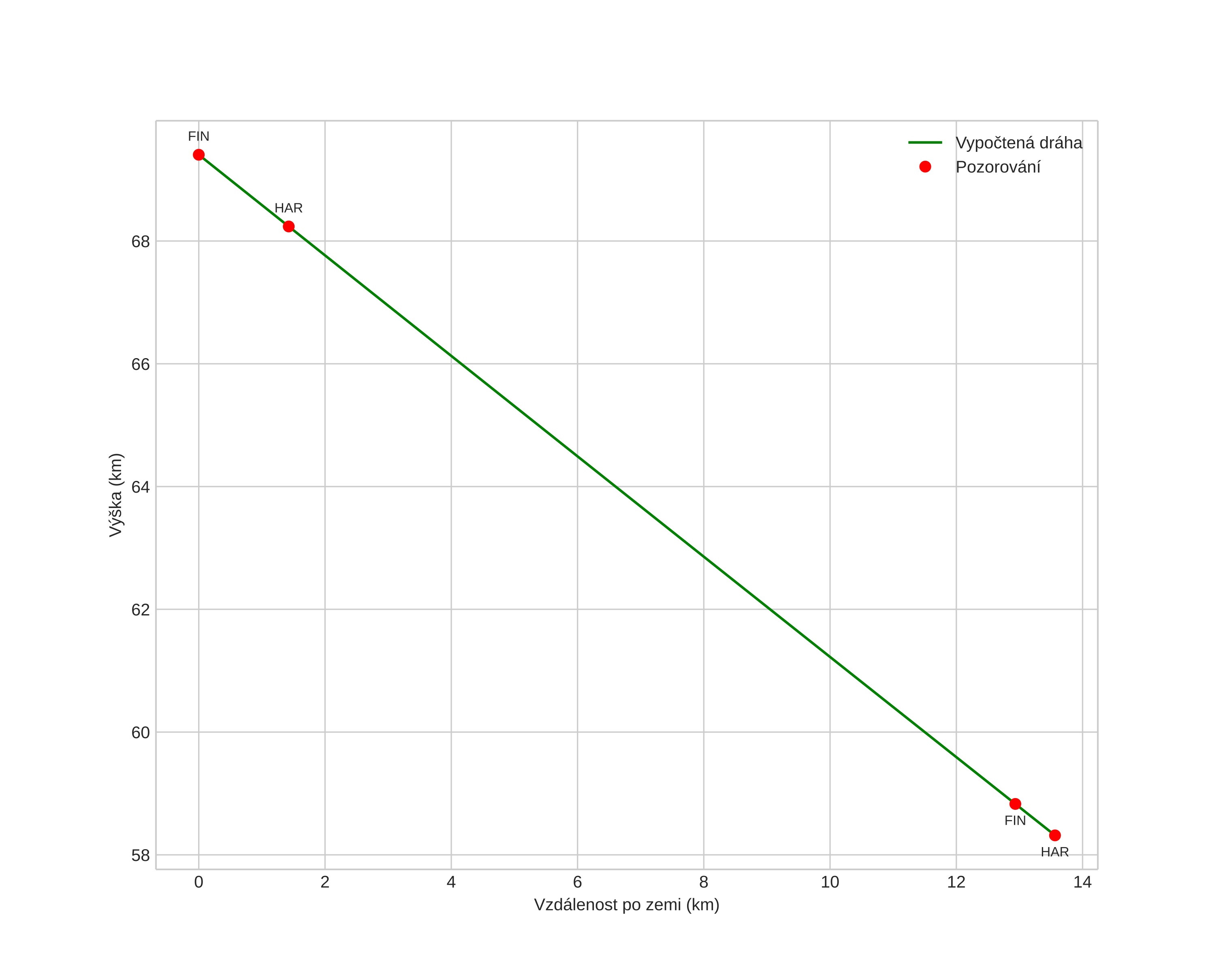
height profile
Atmosférická dráha meteoru:
Počáteční výška: 69,4 km
Konečná výška: 58,3 km
Počáteční poloha: 60,653N 11,122E
Konečná poloha: 60,767N 11,211E
Směr: 20,7°
Sklon: 39,3°
VstupnĂ­ rychlost: 14,0 km/s
Rektascenze radiantu: 03:36 (54,2°)
Deklinace radiantu: -1,6°
MeteorickĂ˝ roj: sporadickĂ˝
Elementy dráhy meteoroidu:
Vzdálenost v periheliu: 0,958 AU
Excentricita: 0,542
Sklon dráhy: 4,7°
Délka vzestupného uzlu: 103,4°
Argument perihelia: 22,1°
Střední anomálie: 354,4°
Epocha: 2025 JAN 03 21:16:57
orbit plot

NeinteraktivnĂ­ graf | InteraktivnĂ­ graf

position vs time
speed and acceleration