🇳🇴 🇬🇧 🇩🇪 🇨🇿 🇫🇮

Meteor Stangen yllä 2025-01-03 21:16:57 UTC

KML-tiedosto  |  Interaktiivinen kartta

Kartta näyttää meteorin suuntahavainnot. Vaaleammat viivat näyttävät suunnat havaintoasemilta meteorin ilmestyessä, ja tummemmat viivat näyttävät, missä se viimeksi nähtiin. Sininen nuoli näyttää meteorin näkyvän lennon.

static map
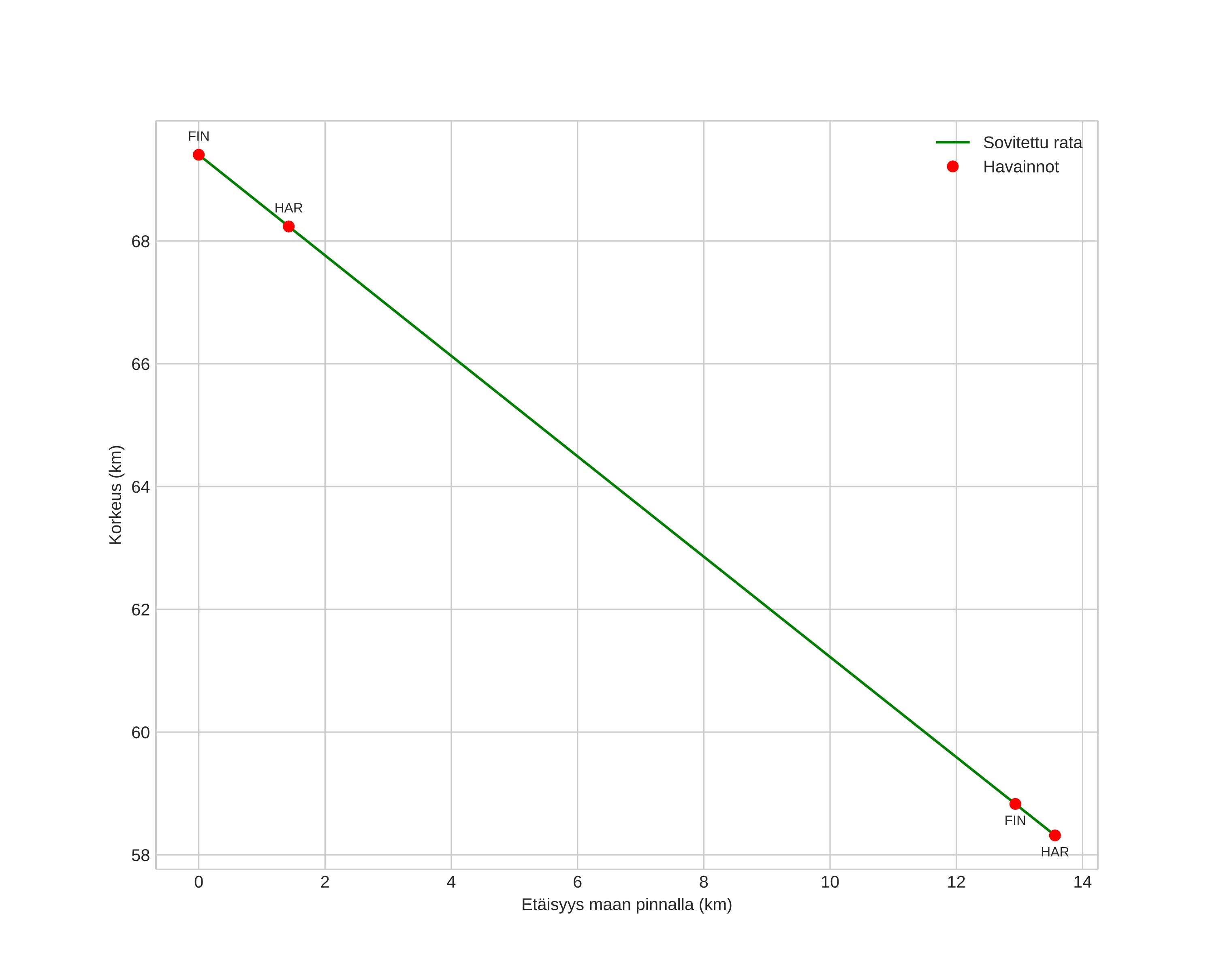
height profile
Meteorin ilmakehärata:
Alkukorkeus: 69,4 km
Loppukorkeus: 58,3 km
Alkupiste: 60,653N 11,122E
Loppupiste: 60,767N 11,211E
Suunta: 20,7°
Kallistuskulma: 39,3°
Tulonopeus: 14,0 km/s
Radiantin R,A,: 03:36 (54,2°)
Radiantin Dekl,: -1,6°
Meteoriparvi: Sporadinen
Meteoroidin rataelementit:
Perihelietäisyys: 0,958 AU
Eksentrisyys: 0,542
Inklinaatio: 4,7°
Nousevan solmun pituus: 103,4°
Perihelin argumentti: 22,1°
Keskianomalia: 354,4°
Epookki: 2025 JAN 03 21:16:57
orbit plot

Ei-interaktiivinen kuvaaja | Interaktiivinen kuvaaja

position vs time
speed and acceleration