🇳🇴 🇬🇧 🇩🇪 🇨🇿 🇫🇮

Meteor, poloha: Kyrkjebygda 2025-01-03 21:18:11 UTC

Soubor KML  |  InteraktivnĂ­ mapa

Mapa zobrazuje dráhy meteoru. Světlejší čáry ukazují směry od pozorovacích stanic při objevení se meteoru a tmavší čáry, kde byl naposledy viděn. Modrá šipka značí viditelnou dráhu meteoru.

static map
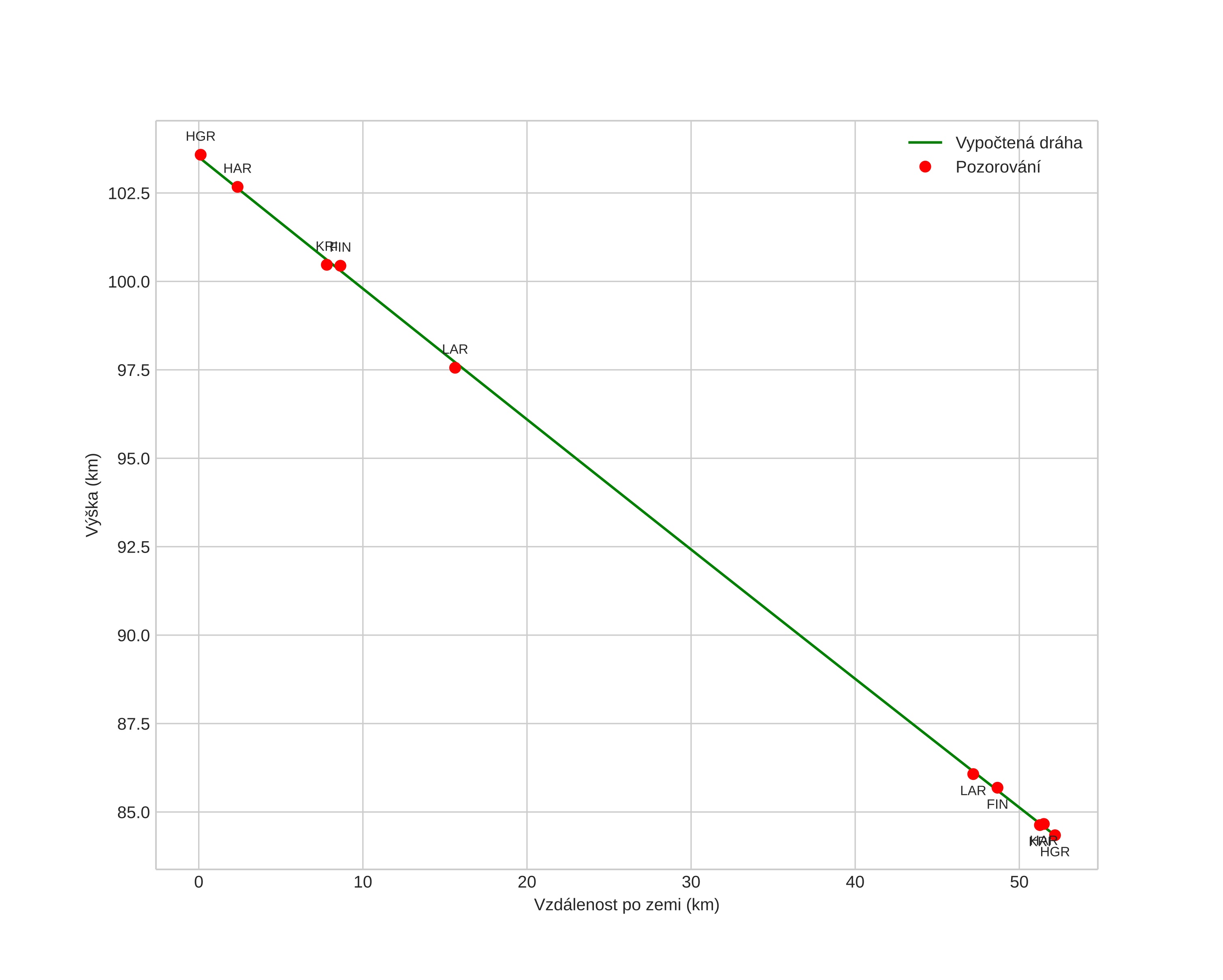
height profile
Atmosférická dráha meteoru:
Počáteční výška: 103,5 km
Konečná výška: 84,7 km
Počáteční poloha: 59,133N 7,810E
Konečná poloha: 58,662N 7,572E
Směr: 194,8°
Sklon: 19,2°
VstupnĂ­ rychlost: 43,1 km/s
Rektascenze radiantu: 15:21 (230,3°)
Deklinace radiantu: 47,4°
MeteorickĂ˝ roj: Kvadrantidy
Elementy dráhy meteoroidu:
Vzdálenost v periheliu: 0,974 AU
Excentricita: 0,645
Sklon dráhy: 73,3°
Délka vzestupného uzlu: 283,4°
Argument perihelia: 167,5°
Střední anomálie: 2,1°
Epocha: 2025 JAN 03 21:18:11
orbit plot

NeinteraktivnĂ­ graf | InteraktivnĂ­ graf

position vs time
speed and acceleration