🇳🇴 🇬🇧 🇩🇪 🇨🇿 🇫🇮

Meteor Kyrkjebygdan yllä 2025-01-03 21:18:11 UTC

KML-tiedosto  |  Interaktiivinen kartta

Kartta näyttää meteorin suuntahavainnot. Vaaleammat viivat näyttävät suunnat havaintoasemilta meteorin ilmestyessä, ja tummemmat viivat näyttävät, missä se viimeksi nähtiin. Sininen nuoli näyttää meteorin näkyvän lennon.

static map
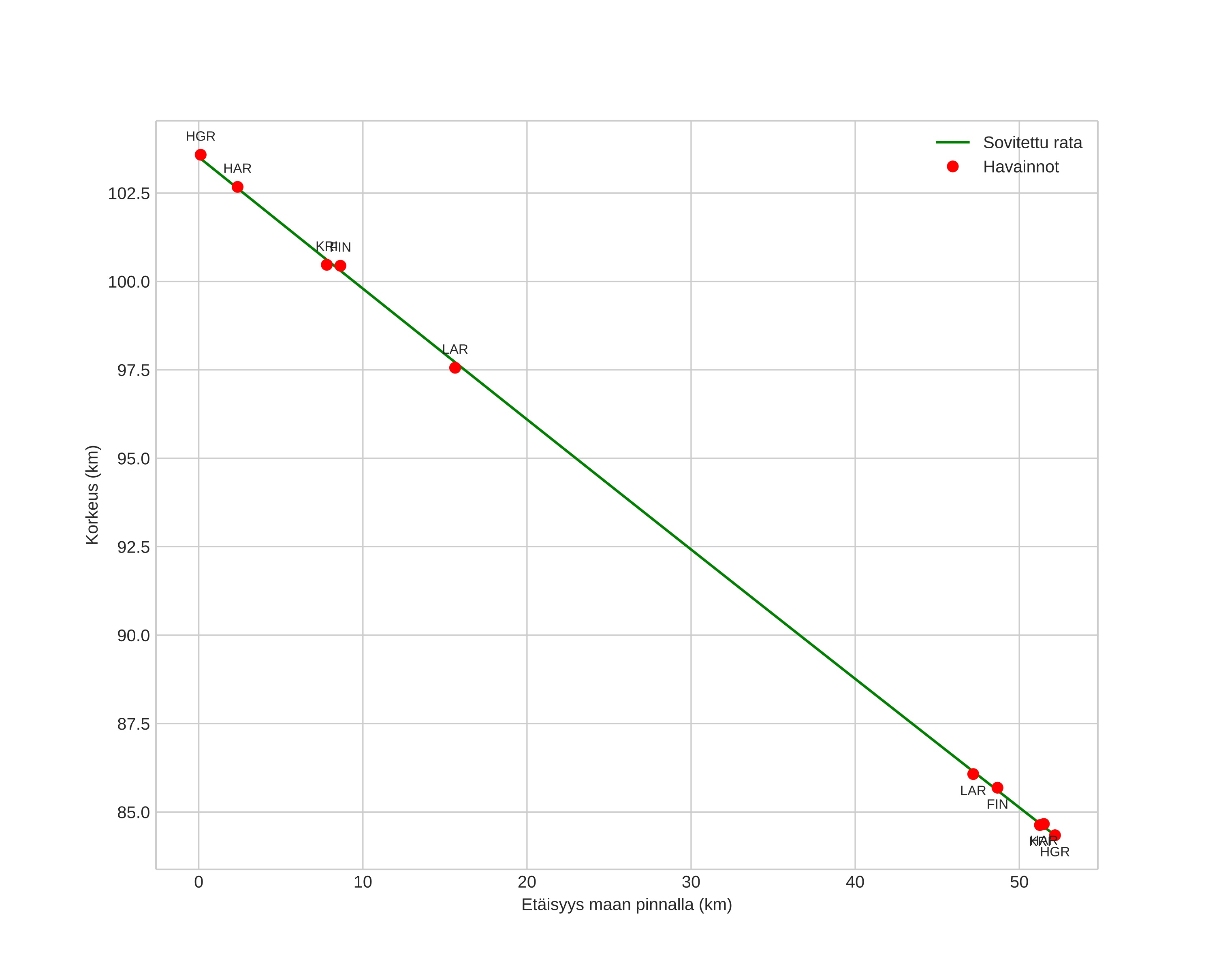
height profile
Meteorin ilmakehärata:
Alkukorkeus: 103,5 km
Loppukorkeus: 84,7 km
Alkupiste: 59,133N 7,810E
Loppupiste: 58,662N 7,572E
Suunta: 194,8°
Kallistuskulma: 19,2°
Tulonopeus: 43,1 km/s
Radiantin R,A,: 15:21 (230,3°)
Radiantin Dekl,: 47,4°
Meteoriparvi: Kvadrantidit
Meteoroidin rataelementit:
Perihelietäisyys: 0,974 AU
Eksentrisyys: 0,645
Inklinaatio: 73,3°
Nousevan solmun pituus: 283,4°
Perihelin argumentti: 167,5°
Keskianomalia: 2,1°
Epookki: 2025 JAN 03 21:18:11
orbit plot

Ei-interaktiivinen kuvaaja | Interaktiivinen kuvaaja

position vs time
speed and acceleration