🇳🇴 🇬🇧 🇩🇪 🇨🇿 🇫🇮

Meteor, poloha: Revetal 2025-01-03 22:25:26 UTC

Soubor KML  |  InteraktivnĂ­ mapa

Mapa zobrazuje dráhy meteoru. Světlejší čáry ukazují směry od pozorovacích stanic při objevení se meteoru a tmavší čáry, kde byl naposledy viděn. Modrá šipka značí viditelnou dráhu meteoru.

static map
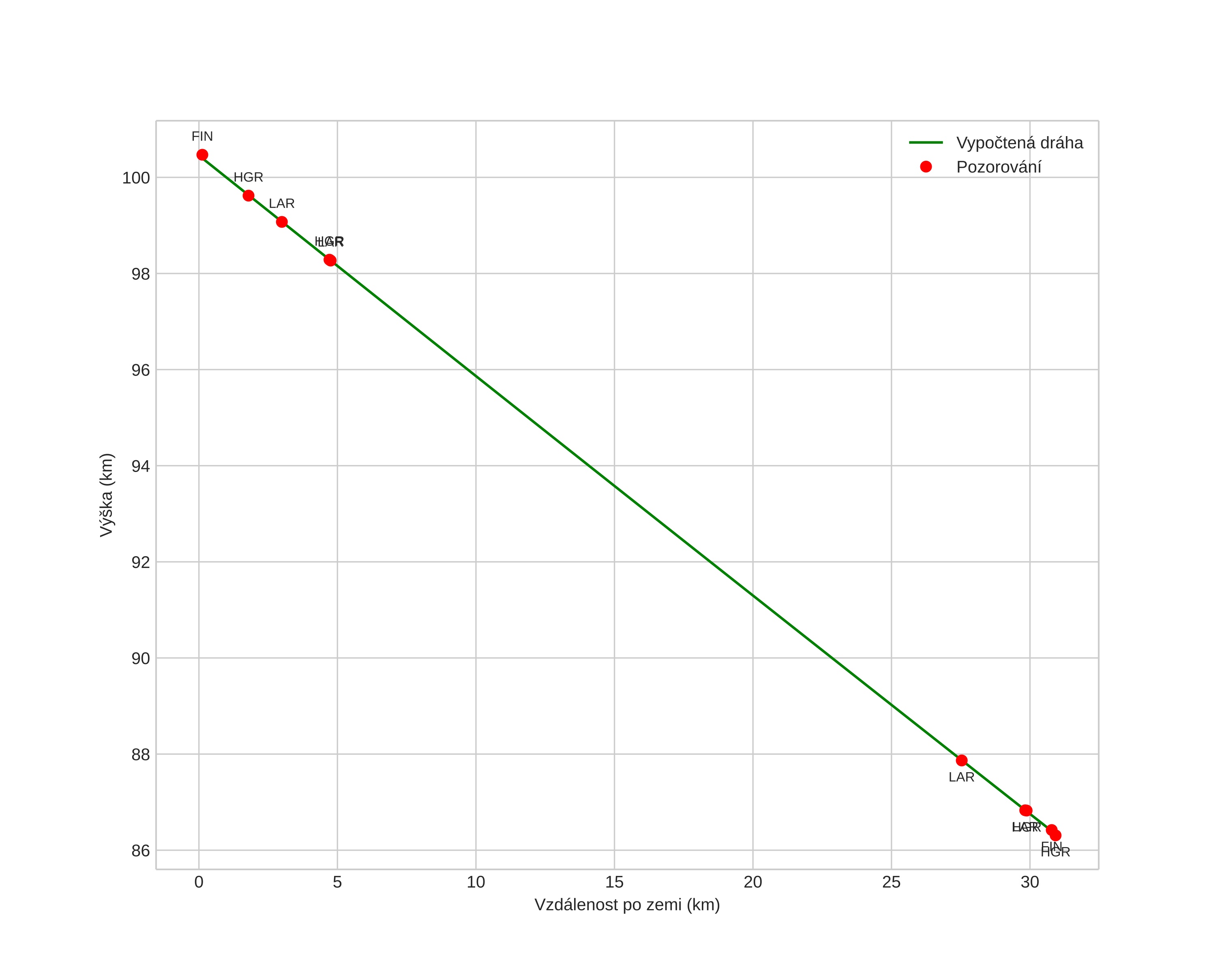
height profile
Atmosférická dráha meteoru:
Počáteční výška: 102,3 km
Konečná výška: 85,8 km
Počáteční poloha: 59,659N 10,610E
Konečná poloha: 59,369N 10,321E
Směr: 206,9°
Sklon: 24,5°
VstupnĂ­ rychlost: 43,9 km/s
Rektascenze radiantu: 15:26 (231,5°)
Deklinace radiantu: 49,3°
MeteorickĂ˝ roj: Kvadrantidy
Elementy dráhy meteoroidu:
Vzdálenost v periheliu: 0,977 AU
Excentricita: 0,773
Sklon dráhy: 72,6°
Délka vzestupného uzlu: 283,5°
Argument perihelia: 170,5°
Střední anomálie: 0,8°
Epocha: 2025 JAN 03 22:25:26
orbit plot

NeinteraktivnĂ­ graf | InteraktivnĂ­ graf

position vs time
speed and acceleration