🇳🇴 🇬🇧 🇩🇪 🇨🇿 🇫🇮

Meteor Revetalin yllä 2025-01-03 22:25:26 UTC

KML-tiedosto  |  Interaktiivinen kartta

Kartta näyttää meteorin suuntahavainnot. Vaaleammat viivat näyttävät suunnat havaintoasemilta meteorin ilmestyessä, ja tummemmat viivat näyttävät, missä se viimeksi nähtiin. Sininen nuoli näyttää meteorin näkyvän lennon.

static map
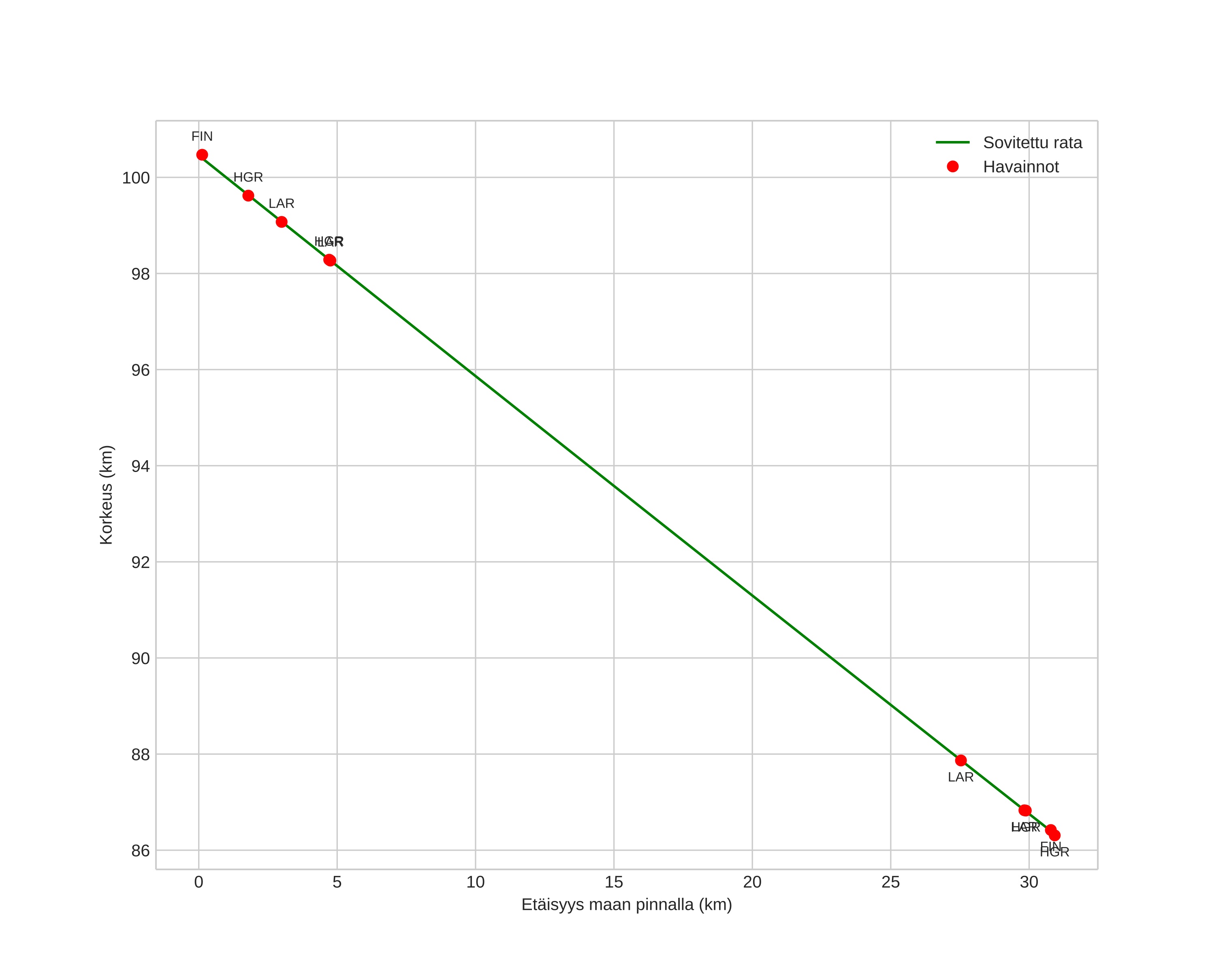
height profile
Meteorin ilmakehärata:
Alkukorkeus: 102,3 km
Loppukorkeus: 85,8 km
Alkupiste: 59,659N 10,610E
Loppupiste: 59,369N 10,321E
Suunta: 206,9°
Kallistuskulma: 24,5°
Tulonopeus: 43,9 km/s
Radiantin R,A,: 15:26 (231,5°)
Radiantin Dekl,: 49,3°
Meteoriparvi: Kvadrantidit
Meteoroidin rataelementit:
Perihelietäisyys: 0,977 AU
Eksentrisyys: 0,773
Inklinaatio: 72,6°
Nousevan solmun pituus: 283,5°
Perihelin argumentti: 170,5°
Keskianomalia: 0,8°
Epookki: 2025 JAN 03 22:25:26
orbit plot

Ei-interaktiivinen kuvaaja | Interaktiivinen kuvaaja

position vs time
speed and acceleration