🇳🇴 🇬🇧 🇩🇪 🇨🇿 🇫🇮

Meteor, poloha: Sogndalsfjøra 2025-01-03 22:52:37 UTC

Soubor KML  |  InteraktivnĂ­ mapa

Mapa zobrazuje dráhy meteoru. Světlejší čáry ukazují směry od pozorovacích stanic při objevení se meteoru a tmavší čáry, kde byl naposledy viděn. Modrá šipka značí viditelnou dráhu meteoru.

static map
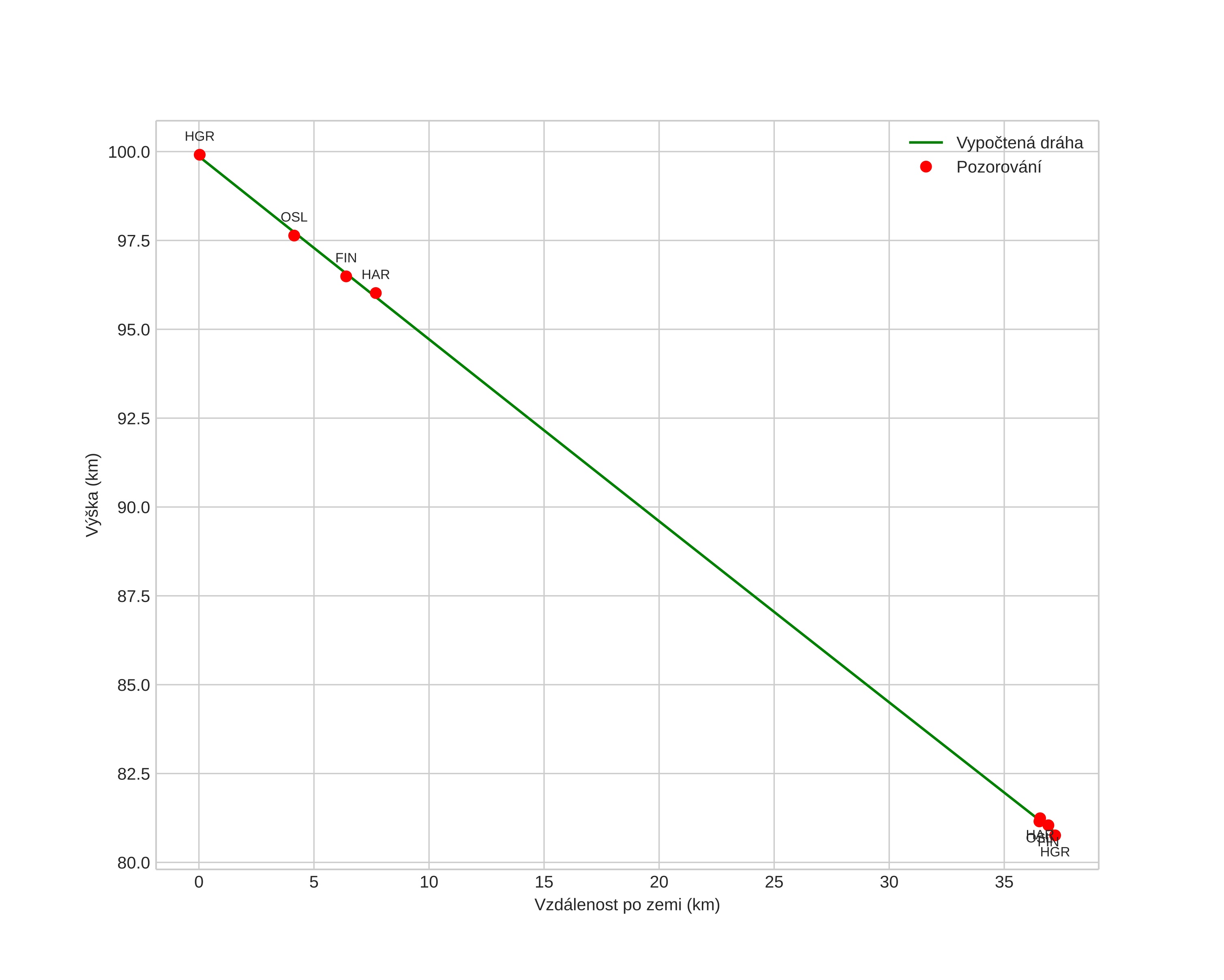
height profile
Atmosférická dráha meteoru:
Počáteční výška: 99,5 km
Konečná výška: 79,9 km
Počáteční poloha: 61,483N 7,450E
Konečná poloha: 61,170N 7,077E
Směr: 209,9°
Sklon: 26,1°
VstupnĂ­ rychlost: 42,3 km/s
Rektascenze radiantu: 15:26 (231,7°)
Deklinace radiantu: 48,3°
MeteorickĂ˝ roj: Kvadrantidy
Elementy dráhy meteoroidu:
Vzdálenost v periheliu: 0,974 AU
Excentricita: 0,648
Sklon dráhy: 71,4°
Délka vzestupného uzlu: 283,5°
Argument perihelia: 167,5°
Střední anomálie: 2,0°
Epocha: 2025 JAN 03 22:52:37
orbit plot

NeinteraktivnĂ­ graf | InteraktivnĂ­ graf

position vs time
speed and acceleration