🇳🇴 🇬🇧 🇩🇪 🇨🇿 🇫🇮

Meteor Sogndalsfjøran yllä 2025-01-03 22:52:37 UTC

KML-tiedosto  |  Interaktiivinen kartta

Kartta näyttää meteorin suuntahavainnot. Vaaleammat viivat näyttävät suunnat havaintoasemilta meteorin ilmestyessä, ja tummemmat viivat näyttävät, missä se viimeksi nähtiin. Sininen nuoli näyttää meteorin näkyvän lennon.

static map
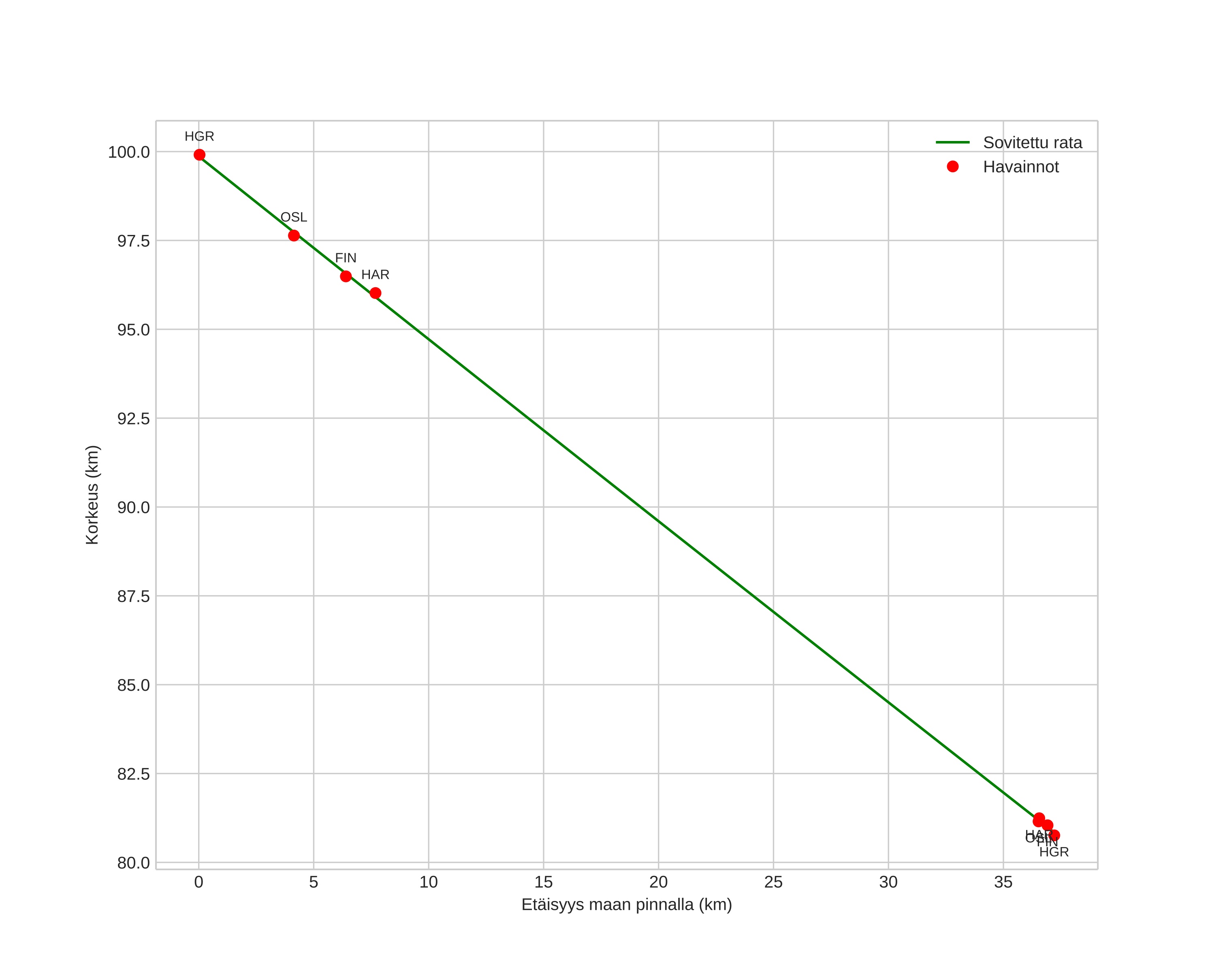
height profile
Meteorin ilmakehärata:
Alkukorkeus: 99,5 km
Loppukorkeus: 79,9 km
Alkupiste: 61,483N 7,450E
Loppupiste: 61,170N 7,077E
Suunta: 209,9°
Kallistuskulma: 26,1°
Tulonopeus: 42,3 km/s
Radiantin R,A,: 15:26 (231,7°)
Radiantin Dekl,: 48,3°
Meteoriparvi: Kvadrantidit
Meteoroidin rataelementit:
Perihelietäisyys: 0,974 AU
Eksentrisyys: 0,648
Inklinaatio: 71,4°
Nousevan solmun pituus: 283,5°
Perihelin argumentti: 167,5°
Keskianomalia: 2,0°
Epookki: 2025 JAN 03 22:52:37
orbit plot

Ei-interaktiivinen kuvaaja | Interaktiivinen kuvaaja

position vs time
speed and acceleration