🇳🇴 🇬🇧 🇩🇪 🇨🇿 🇫🇮

Meteor, poloha: Arvika 2025-01-04 18:36:32 UTC

Soubor KML  |  InteraktivnĂ­ mapa

Mapa zobrazuje dráhy meteoru. Světlejší čáry ukazují směry od pozorovacích stanic při objevení se meteoru a tmavší čáry, kde byl naposledy viděn. Modrá šipka značí viditelnou dráhu meteoru.

static map
height profile
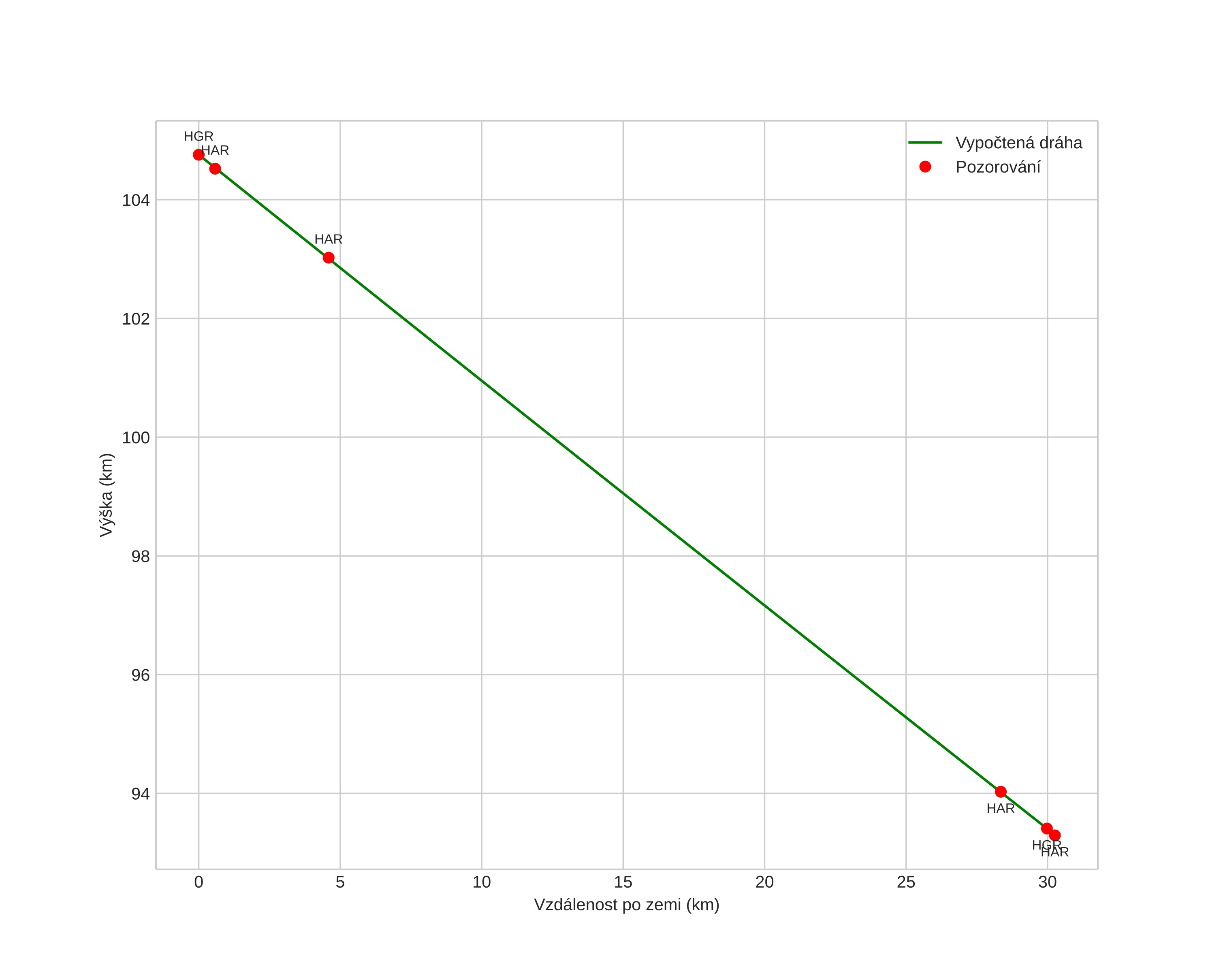
Atmosférická dráha meteoru:
Počáteční výška: 109,0 km
Konečná výška: 92,0 km
Počáteční poloha: 59,848N 13,225E
Konečná poloha: 59,626N 12,736E
Směr: 228,2°
Sklon: 24,7°
VstupnĂ­ rychlost: 55,4 km/s
Rektascenze radiantu: 10:07 (152,0°)
Deklinace radiantu: 41,4°
MeteorickĂ˝ roj: sporadickĂ˝
Elementy dráhy meteoroidu:
Vzdálenost v periheliu: 0,328 AU
Excentricita: 1,154
Sklon dráhy: 82,4°
Délka vzestupného uzlu: 284,3°
Argument perihelia: 284,1°
Střední anomálie: -10,4°
Epocha: 2025 JAN 04 18:36:32
orbit plot

NeinteraktivnĂ­ graf | InteraktivnĂ­ graf

position vs time
speed and acceleration