🇳🇴 🇬🇧 🇩🇪 🇨🇿 🇫🇮

Meteor Arvikan yllä 2025-01-04 18:36:32 UTC

KML-tiedosto  |  Interaktiivinen kartta

Kartta näyttää meteorin suuntahavainnot. Vaaleammat viivat näyttävät suunnat havaintoasemilta meteorin ilmestyessä, ja tummemmat viivat näyttävät, missä se viimeksi nähtiin. Sininen nuoli näyttää meteorin näkyvän lennon.

static map
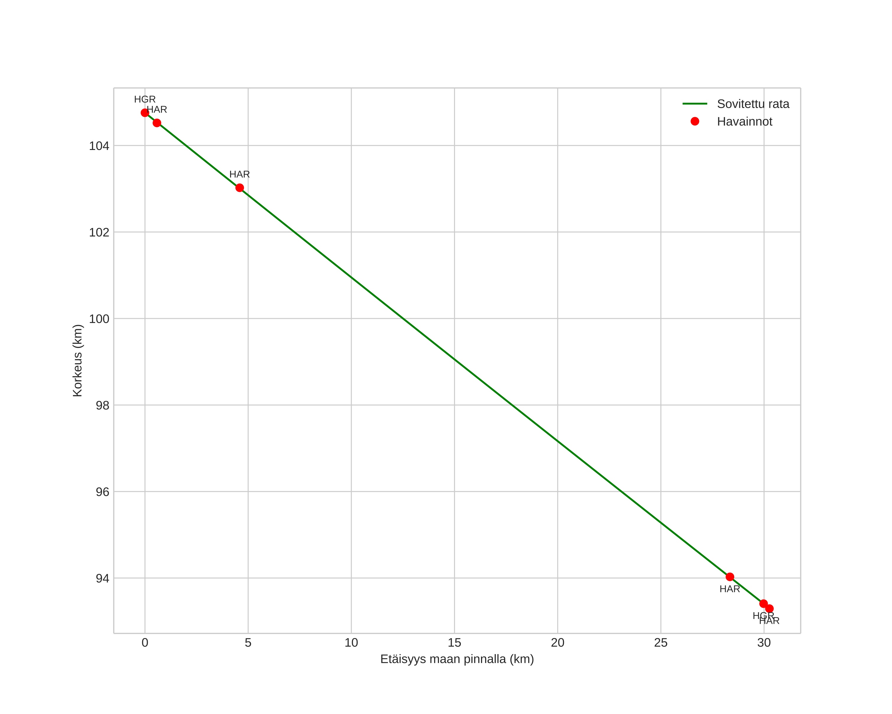
height profile
Meteorin ilmakehärata:
Alkukorkeus: 109,0 km
Loppukorkeus: 92,0 km
Alkupiste: 59,848N 13,225E
Loppupiste: 59,626N 12,736E
Suunta: 228,2°
Kallistuskulma: 24,7°
Tulonopeus: 55,4 km/s
Radiantin R,A,: 10:07 (152,0°)
Radiantin Dekl,: 41,4°
Meteoriparvi: Sporadinen
Meteoroidin rataelementit:
Perihelietäisyys: 0,328 AU
Eksentrisyys: 1,154
Inklinaatio: 82,4°
Nousevan solmun pituus: 284,3°
Perihelin argumentti: 284,1°
Keskianomalia: -10,4°
Epookki: 2025 JAN 04 18:36:32
orbit plot

Ei-interaktiivinen kuvaaja | Interaktiivinen kuvaaja

position vs time
speed and acceleration