🇳🇴 🇬🇧 🇩🇪 🇨🇿 🇫🇮

Meteor, poloha: Nora 2025-01-04 19:03:10 UTC

Soubor KML  |  InteraktivnĂ­ mapa

Mapa zobrazuje dráhy meteoru. Světlejší čáry ukazují směry od pozorovacích stanic při objevení se meteoru a tmavší čáry, kde byl naposledy viděn. Modrá šipka značí viditelnou dráhu meteoru.

static map
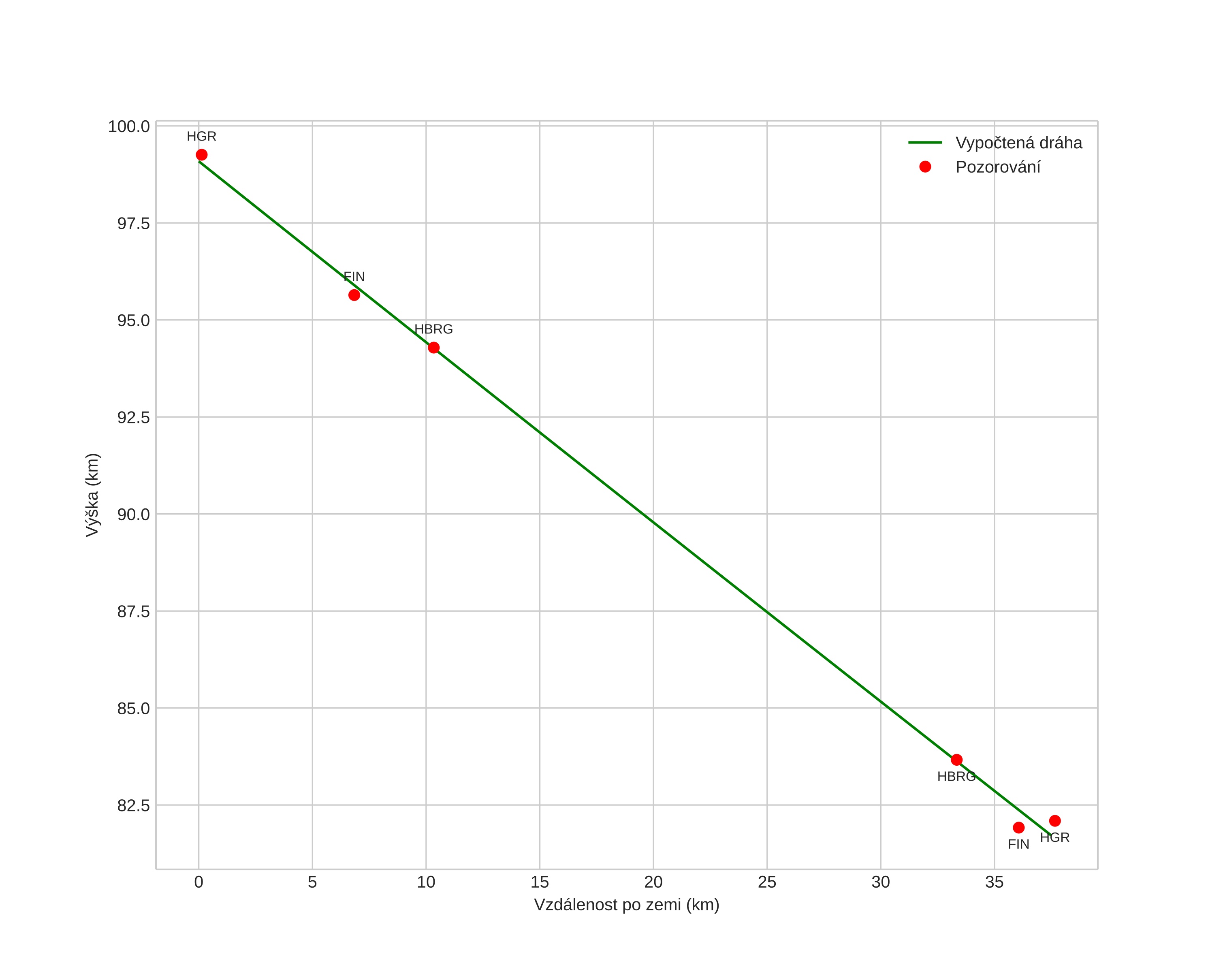
height profile
Atmosférická dráha meteoru:
Počáteční výška: 98,5 km
Konečná výška: 81,5 km
Počáteční poloha: 59,984N 14,884E
Konečná poloha: 59,659N 14,924E
Směr: 176,4°
Sklon: 25,2°
VstupnĂ­ rychlost: 40,5 km/s
Rektascenze radiantu: 15:24 (231,2°)
Deklinace radiantu: 53,8°
MeteorickĂ˝ roj: Kvadrantidy
Elementy dráhy meteoroidu:
Vzdálenost v periheliu: 0,983 AU
Excentricita: 0,697
Sklon dráhy: 66,9°
Délka vzestupného uzlu: 284,3°
Argument perihelia: 179,1°
Střední anomálie: 0,1°
Epocha: 2025 JAN 04 19:03:10
orbit plot

NeinteraktivnĂ­ graf | InteraktivnĂ­ graf

position vs time
speed and acceleration