🇳🇴 🇬🇧 🇩🇪 🇨🇿 🇫🇮

Meteor Noran yllä 2025-01-04 19:03:10 UTC

KML-tiedosto  |  Interaktiivinen kartta

Kartta näyttää meteorin suuntahavainnot. Vaaleammat viivat näyttävät suunnat havaintoasemilta meteorin ilmestyessä, ja tummemmat viivat näyttävät, missä se viimeksi nähtiin. Sininen nuoli näyttää meteorin näkyvän lennon.

static map
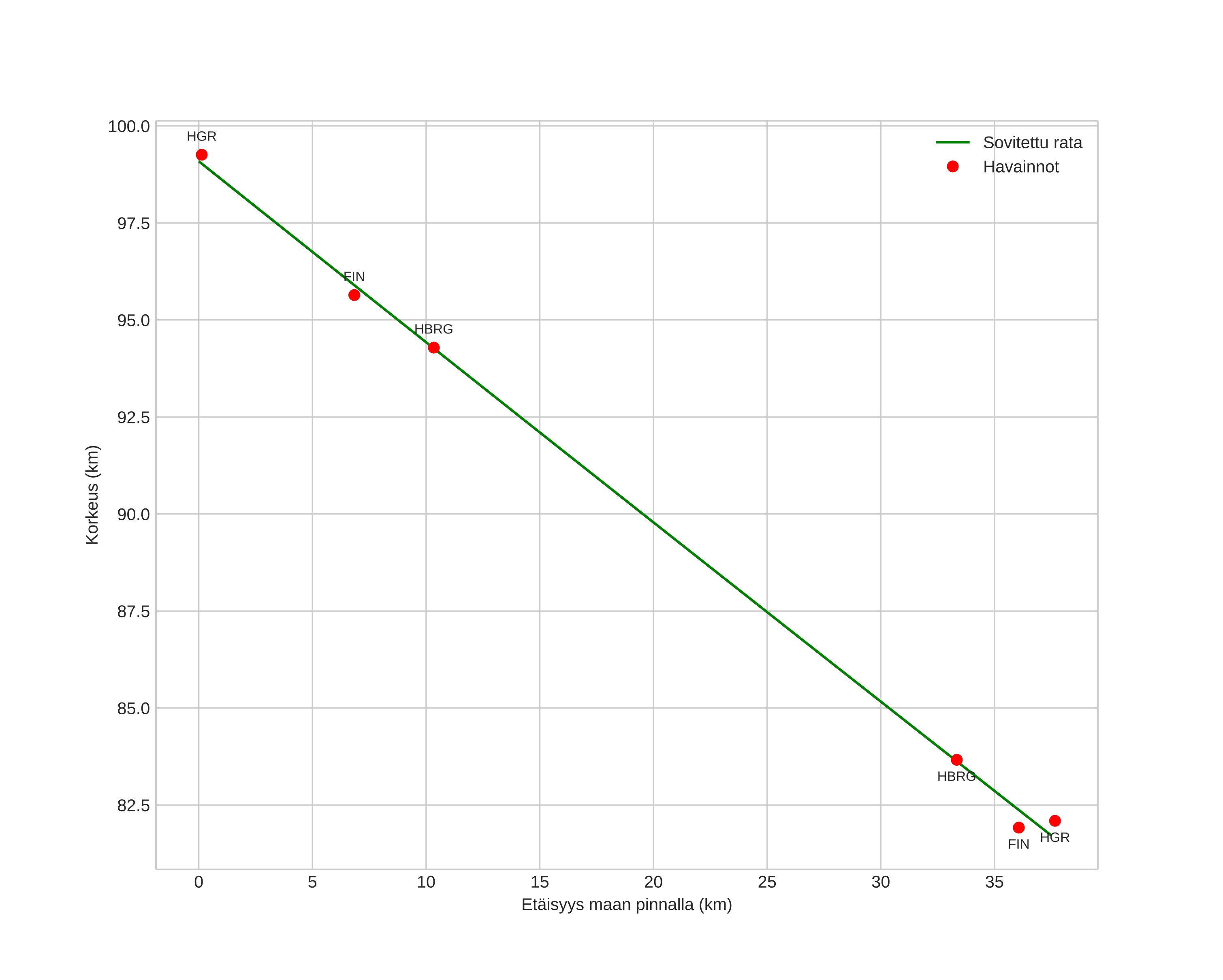
height profile
Meteorin ilmakehärata:
Alkukorkeus: 98,5 km
Loppukorkeus: 81,5 km
Alkupiste: 59,984N 14,884E
Loppupiste: 59,659N 14,924E
Suunta: 176,4°
Kallistuskulma: 25,2°
Tulonopeus: 40,5 km/s
Radiantin R,A,: 15:24 (231,2°)
Radiantin Dekl,: 53,8°
Meteoriparvi: Kvadrantidit
Meteoroidin rataelementit:
Perihelietäisyys: 0,983 AU
Eksentrisyys: 0,697
Inklinaatio: 66,9°
Nousevan solmun pituus: 284,3°
Perihelin argumentti: 179,1°
Keskianomalia: 0,1°
Epookki: 2025 JAN 04 19:03:10
orbit plot

Ei-interaktiivinen kuvaaja | Interaktiivinen kuvaaja

position vs time
speed and acceleration