🇳🇴 🇬🇧 🇩🇪 🇨🇿 🇫🇮

Meteor, poloha: Lillehammer 2025-01-04 19:15:41 UTC

Soubor KML  |  InteraktivnĂ­ mapa

Mapa zobrazuje dráhy meteoru. Světlejší čáry ukazují směry od pozorovacích stanic při objevení se meteoru a tmavší čáry, kde byl naposledy viděn. Modrá šipka značí viditelnou dráhu meteoru.

static map
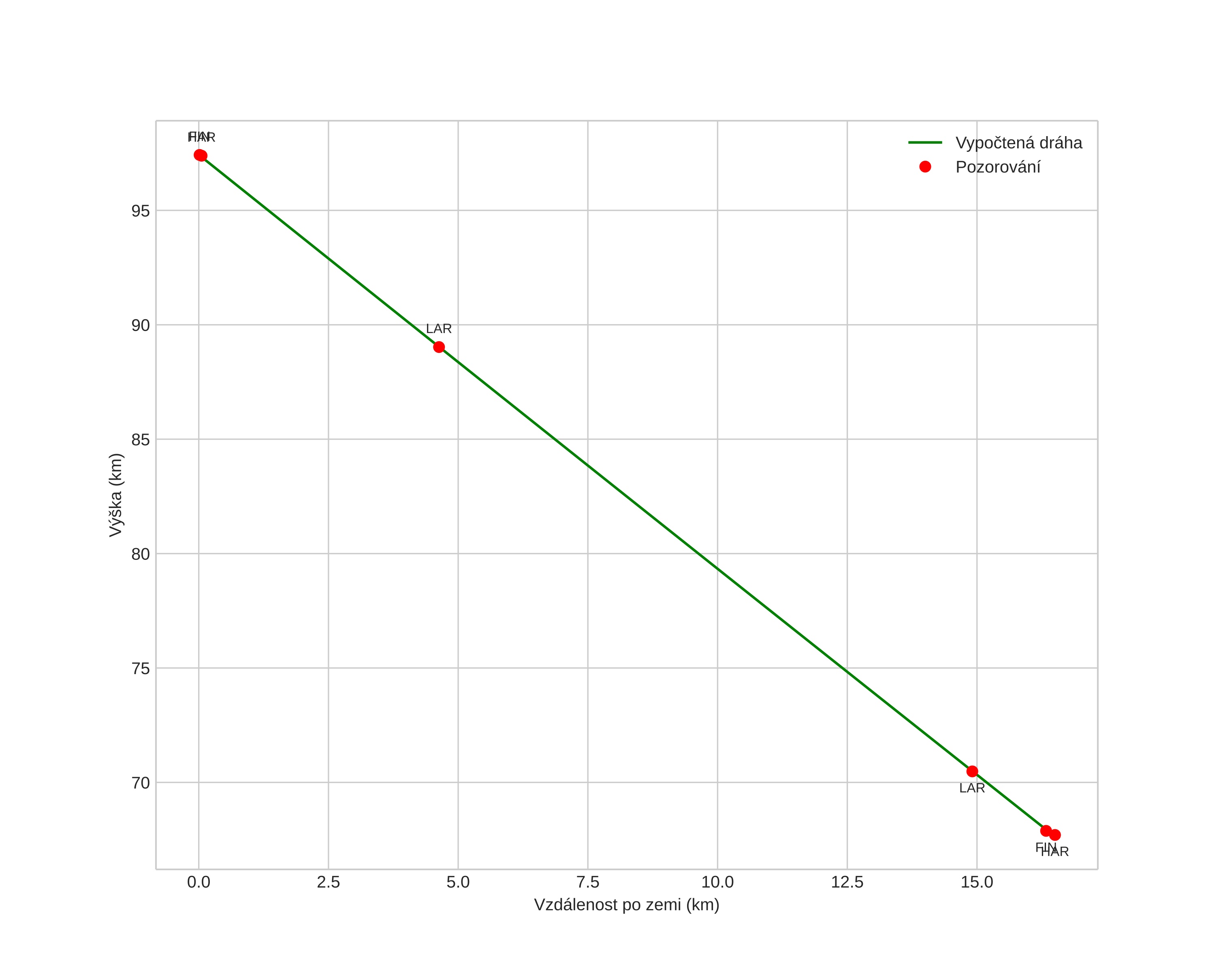
height profile
Atmosférická dráha meteoru:
Počáteční výška: 102,1 km
Konečná výška: 67,7 km
Počáteční poloha: 61,184N 10,601E
Konečná poloha: 61,016N 10,531E
Směr: 191,4°
Sklon: 61,0°
VstupnĂ­ rychlost: 29,2 km/s
Rektascenze radiantu: 09:20 (140,2°)
Deklinace radiantu: 84,8°
MeteorickĂ˝ roj: sporadickĂ˝
Elementy dráhy meteoroidu:
Vzdálenost v periheliu: 0,894 AU
Excentricita: 0,914
Sklon dráhy: 37,4°
Délka vzestupného uzlu: 284,3°
Argument perihelia: 216,0°
Střední anomálie: 359,3°
Epocha: 2025 JAN 04 19:15:41
orbit plot

NeinteraktivnĂ­ graf | InteraktivnĂ­ graf

position vs time
speed and acceleration