🇳🇴 🇬🇧 🇩🇪 🇨🇿 🇫🇮

Meteor Lillehammerin yllä 2025-01-04 19:15:41 UTC

KML-tiedosto  |  Interaktiivinen kartta

Kartta näyttää meteorin suuntahavainnot. Vaaleammat viivat näyttävät suunnat havaintoasemilta meteorin ilmestyessä, ja tummemmat viivat näyttävät, missä se viimeksi nähtiin. Sininen nuoli näyttää meteorin näkyvän lennon.

static map
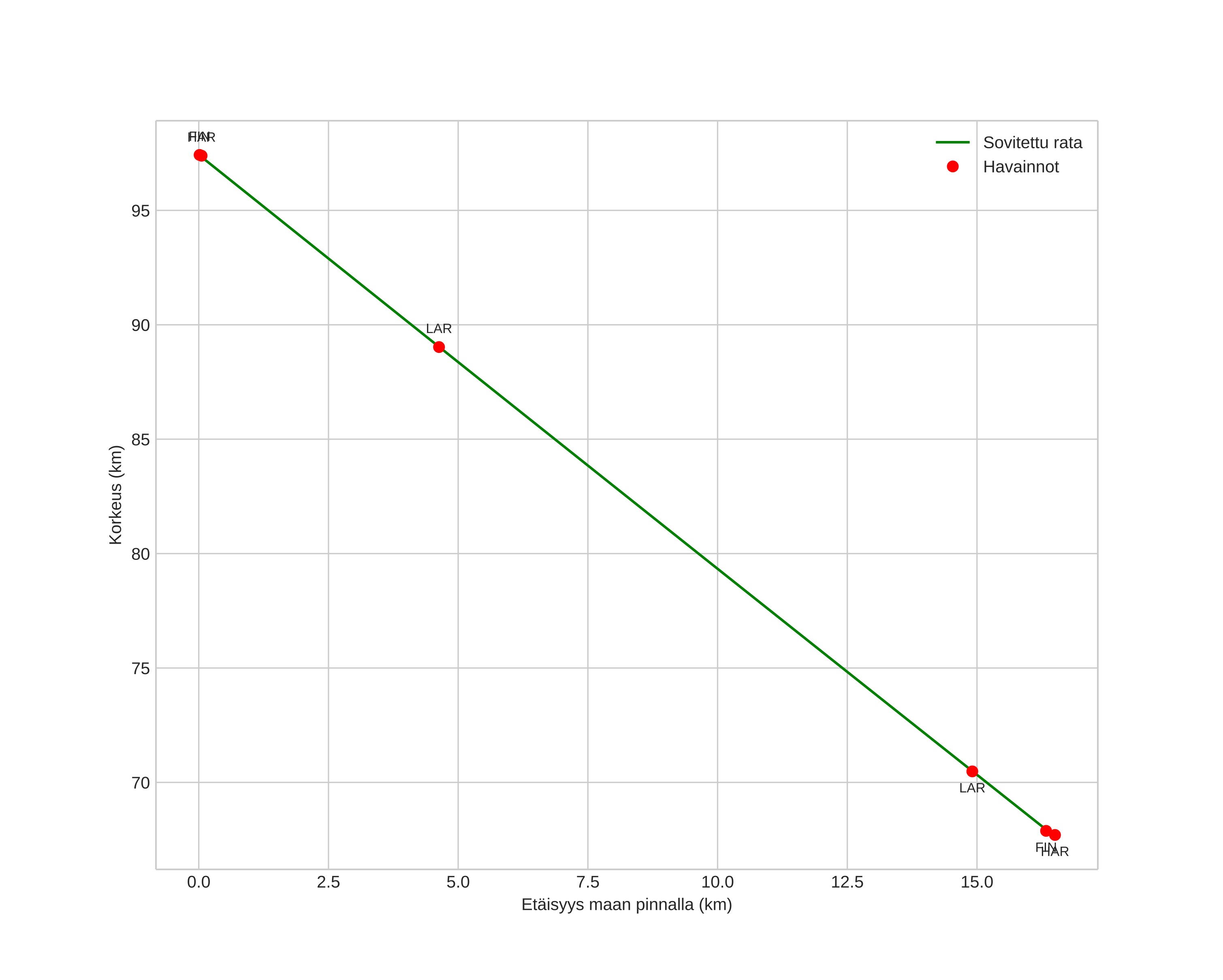
height profile
Meteorin ilmakehärata:
Alkukorkeus: 102,1 km
Loppukorkeus: 67,7 km
Alkupiste: 61,184N 10,601E
Loppupiste: 61,016N 10,531E
Suunta: 191,4°
Kallistuskulma: 61,0°
Tulonopeus: 29,2 km/s
Radiantin R,A,: 09:20 (140,2°)
Radiantin Dekl,: 84,8°
Meteoriparvi: Sporadinen
Meteoroidin rataelementit:
Perihelietäisyys: 0,894 AU
Eksentrisyys: 0,914
Inklinaatio: 37,4°
Nousevan solmun pituus: 284,3°
Perihelin argumentti: 216,0°
Keskianomalia: 359,3°
Epookki: 2025 JAN 04 19:15:41
orbit plot

Ei-interaktiivinen kuvaaja | Interaktiivinen kuvaaja

position vs time
speed and acceleration