🇳🇴 🇬🇧 🇩🇪 🇨🇿 🇫🇮

Meteor, poloha: Os 2025-01-05 00:12:28 UTC

Soubor KML  |  InteraktivnĂ­ mapa

Mapa zobrazuje dráhy meteoru. Světlejší čáry ukazují směry od pozorovacích stanic při objevení se meteoru a tmavší čáry, kde byl naposledy viděn. Modrá šipka značí viditelnou dráhu meteoru.

static map
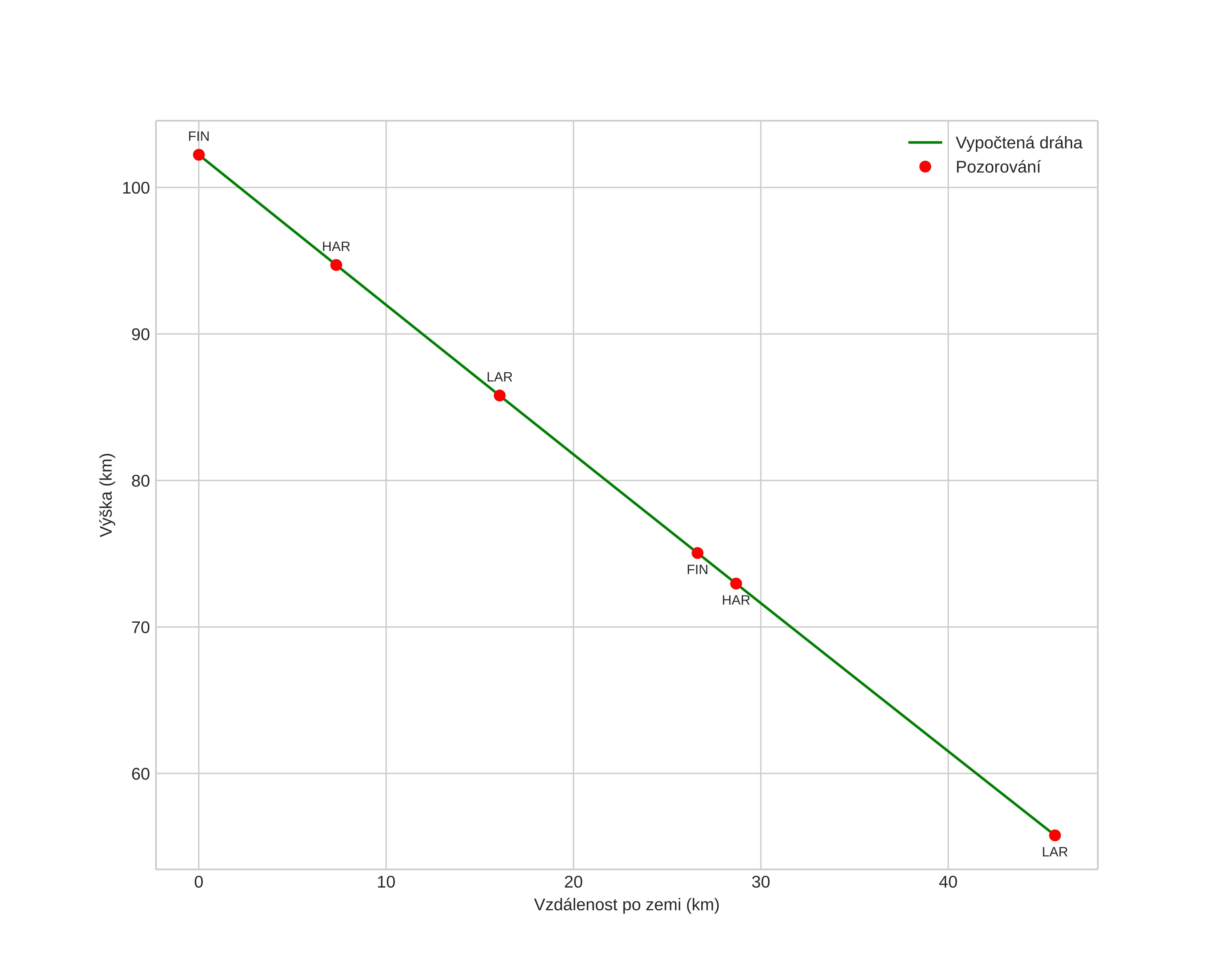
height profile
Atmosférická dráha meteoru:
Počáteční výška: 102,4 km
Konečná výška: 55,5 km
Počáteční poloha: 61,997N 11,116E
Konečná poloha: 62,405N 11,223E
Směr: 6,9°
Sklon: 45,7°
VstupnĂ­ rychlost: 29,9 km/s
Rektascenze radiantu: 07:32 (113,1°)
Deklinace radiantu: 16,1°
MeteorickĂ˝ roj: sporadickĂ˝
Elementy dráhy meteoroidu:
Vzdálenost v periheliu: 0,424 AU
Excentricita: 0,838
Sklon dráhy: 5,8°
Délka vzestupného uzlu: 104,6°
Argument perihelia: 104,3°
Střední anomálie: 350,2°
Epocha: 2025 JAN 05 00:12:28
orbit plot

NeinteraktivnĂ­ graf | InteraktivnĂ­ graf

position vs time
speed and acceleration